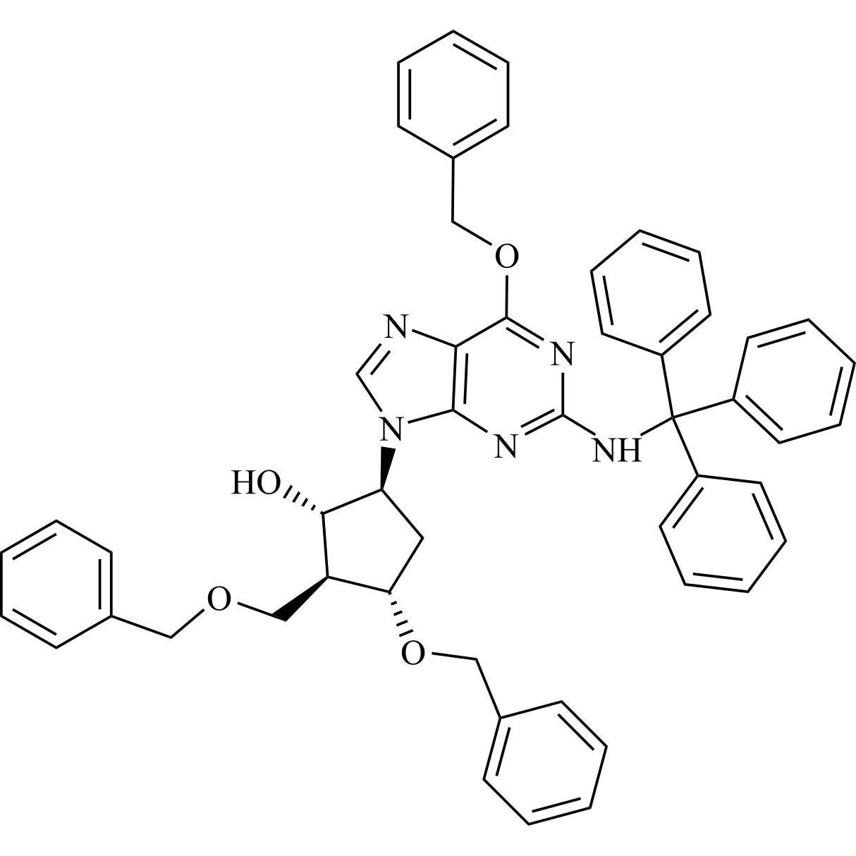
- Synonyms2-amino-9-((1S,3R,4S)-3-((benzyloxy)methyl)-4-(dimethyl(phenyl)silyl)-2-methylenecyclopentyl)-3H-purin-6(9H)-one;2-Amino-9-[(1S,3R,4S)-4-(dimethylphenylsilyl)-2-methylene-3-[(phenylmethoxy)methyl]cyclopentyl]-1,9-dihydro-6H-purin-6-one; Entecavir Impurity F (EP); Entecavir EP Impurity F;6-O-Benzy...
- Description
2-amino-9-((1S,3R,4S)-3-((benzyloxy)methyl)-4-(dimethyl(phenyl)silyl)-2-methylenecyclopentyl)-3H-purin-6(9H)-one;2-Amino-9-[(1S,3R,4S)-4-(dimethylphenylsilyl)-2-methylene-3-[(phenylmethoxy)methyl]cyclopentyl]-1,9-dihydro-6H-purin-6-one; Entecavir Impurity F (EP); Entecavir EP Impurity F;6-O-Benzyl-4-dehydroxy-4-dimethylphenylsilyl Entecavir
Entecavir EP Impurity F is a fully characterized chemical compound used as a reference standard of API Entecavir. The standard offered is compliant with regulatory guidelines. Entecavir EP Impurity F is used for analytical method development, method validation (AMV), and Quality Controlled (QC) applications during synthesis and formulation stages of drug development and serves as a reference standard for traceability against pharmacopeial standards (USP or EP). Axios Research products are intended for analytical purposes only and are not for human use. CAS - 649761-24-0