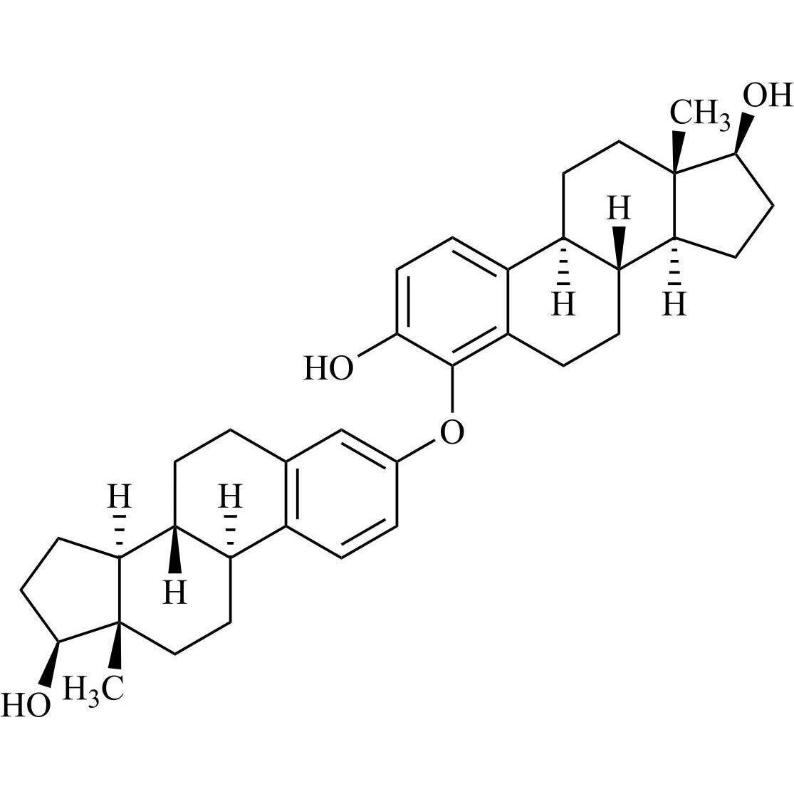
Estradiol 3,17β-dicyclopentanepropionate
Estradiol Dicypionate is a fully characterized chemical compound used as a reference standard of API Estradiol. The standard offered is compliant with regulatory guidelines. Estradiol Dicypionate is used for analytical method development, method validation (AMV), and Quality Controlled (QC) applications during synthesis and formulation stages of drug development and serves as a reference standard for traceability against pharmacopeial standards (USP or EP). Axios Research products are intended for analytical purposes only and are not for human use. CAS - 633-36-3
Related products
rac-Ethinylestradiol EP Impurity H (Mixture of Diastereomers)
M.F.
M.W. 310.39
CAT# AR-E01885
CAS# NA
17-alpha-Ethynyl Estradiol-3-Sulfate (sodium salt)
M.F.
M.W. 376.48; 22.99
CAT# AR-E11085
CAS# 724762-79-2
17-alpha-Ethynyl Estradiol-3-Sulfate Triethylamine Salt
M.F.
M.W. 376.48 101.19
CAT# AR-E10459
CAS# NA
17-alpha-Ethynyl Estradiol-17-Sulfate Triethylamine Salt
M.F.
M.W. 376.47 101.19
CAT# AR-E10464
CAS# NA
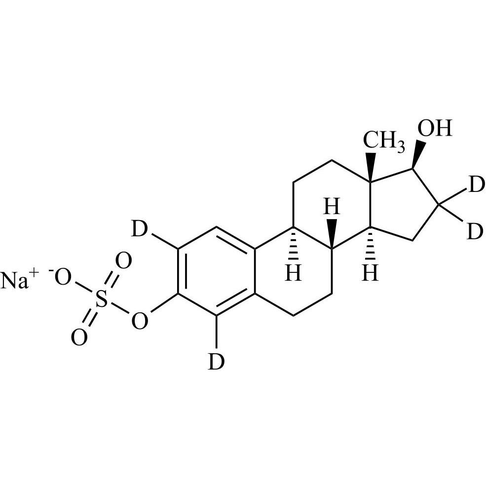
17-alpha-Ethynyl Estradiol-3-Sulfate-d7 Triethylamine Salt
M.F.
M.W. 383.51 101.19
CAT# AR-E10452
CAS# NA
Estradiol Hemihydrate EP Impurity D-13C2 (delta-9(11)-Estradiol-13C2)
M.F.
M.W. 272.36
CAT# AR-E10435
CAS# NA
Estradiol-13C2-d2 (Estradiol Valerate EP Impurity A-13C2-d2, Estriol EP Impurity D-13C2-d2, Ethinylestradiol EP Impurity D-13C2-d2)
M.F.
M.W. 276.38
CAT# AR-E10458
CAS# NA
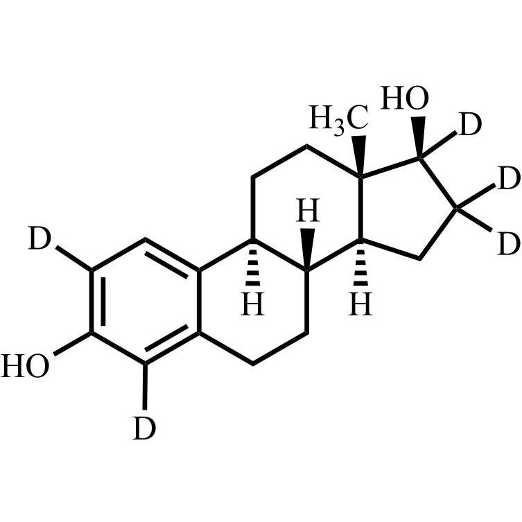
Estradiol Hemihydrate EP Impurity D-d3 (delta-9(11)-Estradiol-d3)
M.F.
M.W. 273.39
CAT# AR-E10462
CAS# NA