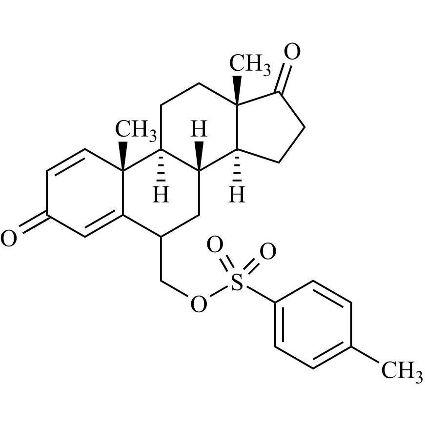
- Synonyms((8R,9S,10R,13S,14S)-10,13-dimethyl-3,17-dioxo-6,7,8,9,10,11,12,13,14,15,16,17-dodecahydro-3H-cyclopenta[a]phenanthren-6-yl)methyl methanesulfonate
- Description
((8R,9S,10R,13S,14S)-10,13-dimethyl-3,17-dioxo-6,7,8,9,10,11,12,13,14,15,16,17-dodecahydro-3H-cyclopenta[a]phenanthren-6-yl)methyl methanesulfonate
Exemestane Methanesulfonate Analog is a fully characterized chemical compound used as a reference standard of API Exemestane. The standard offered is compliant with regulatory guidelines. Exemestane Methanesulfonate Analog is used for analytical method development, method validation (AMV), and Quality Controlled (QC) applications during synthesis and formulation stages of drug development and serves as a reference standard for traceability against pharmacopeial standards (USP or EP). Axios Research products are intended for analytical purposes only and are not for human use. CAS - 861395-77-9
Related products
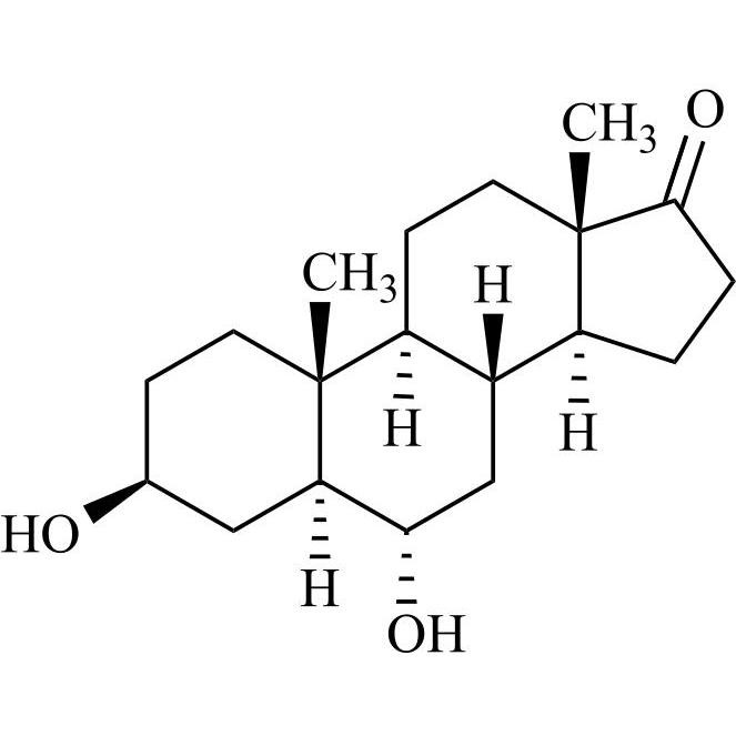
17-beta-Hydroxy Exemestane Epoxide (Mixture of Diastereomers)
M.F.
M.W. 314.43
CAT# AR-E02263
CAS# 1331732-05-8
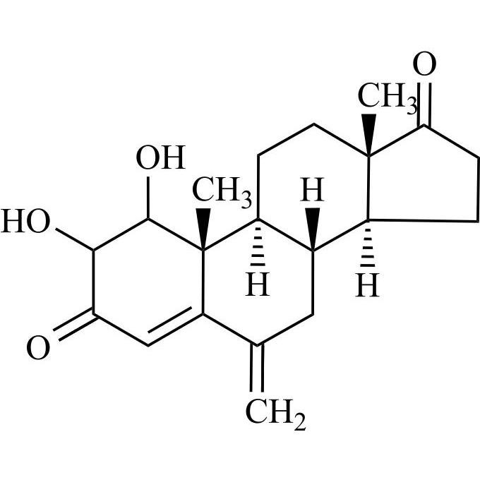
6-beta-Exemestane EP Impurity B (6-beta-Exemestane USP Related Compound B)
M.F.
M.W. 314.43
CAT# AR-E10924
CAS# 121021-51-0