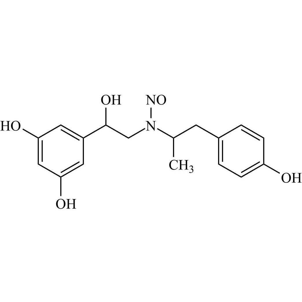
- Synonyms1-(3,5-dihydroxyphenyl)-2-((1-(4-hydroxyphenyl)propan-2-yl)amino)ethanone hydrochloride
- Description
1-(3,5-dihydroxyphenyl)-2-((1-(4-hydroxyphenyl)propan-2-yl)amino)ethanone hydrochloride
Fenoterol EP Impurity B HCl is a fully  characterized chemical compound used as a reference standard of API Fenoterol. The standard offered is compliant with regulatory guidelines. Fenoterol EP Impurity B HCl is used for analytical method development, method validation (AMV), and Quality Controlled (QC) applications during synthesis and formulation stages of drug development and serves as a reference standard for traceability against pharmacopeial standards (USP or EP). Axios Research products are intended for analytical purposes only and are not for human use. CAS - 1944-11-2
Related products
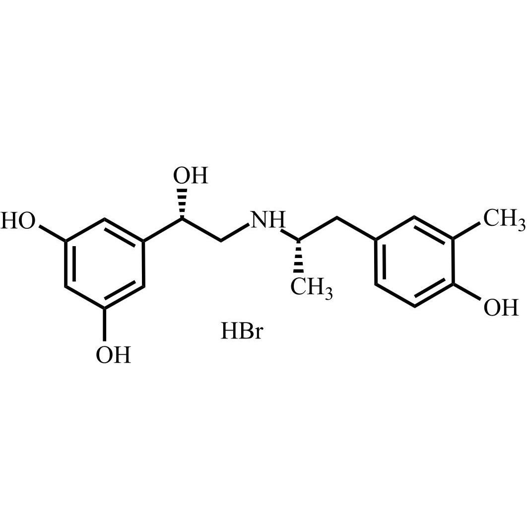
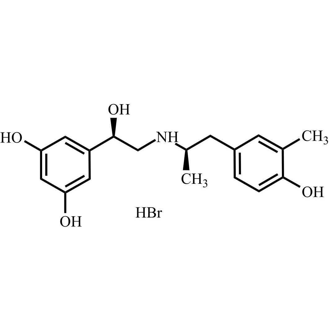
Fenoterol Degradation Impurity A HBr (Mixture of Diastereomers)
 
			
    M.F.
M.W. 315.37 80.91
CAT# AR-F01310
CAS# NA
 
 
             
			 
			 
			 
			 
			 
			 
			 
			 
			 
			 
			 
			 
			