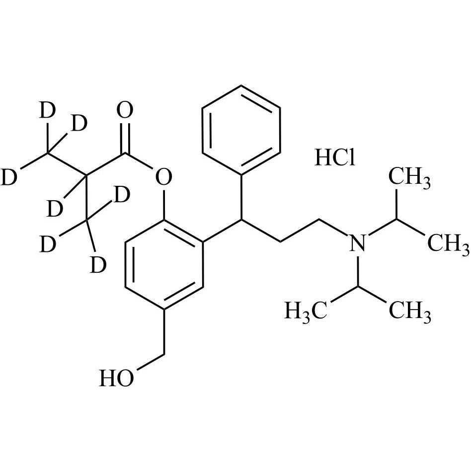
- Synonyms(R)-2-(3-(diisopropylamino)-1-phenylpropyl)-4-(methoxymethyl)phenol hydrochloride
- Description
(R)-2-(3-(diisopropylamino)-1-phenylpropyl)-4-(methoxymethyl)phenol hydrochloride
Fesoterodine Impurity O HCl is a fully characterized chemical compound used as a reference standard of API Fesoterodine. The standard offered is compliant with regulatory guidelines. Fesoterodine Impurity O HCl is used for analytical method development, method validation (AMV), and Quality Controlled (QC) applications during synthesis and formulation stages of drug development and serves as a reference standard for traceability against pharmacopeial standards (USP or EP). Axios Research products are intended for analytical purposes only and are not for human use. CAS - 250214-69-8 (freebase)
Related products
Fesoterodine Impurity 5 Fumarate
M.F.
M.W. 664.98 116.07
CAT# AR-F09973
CAS# 1428856-45-4 (R,S) free amine diastereomer