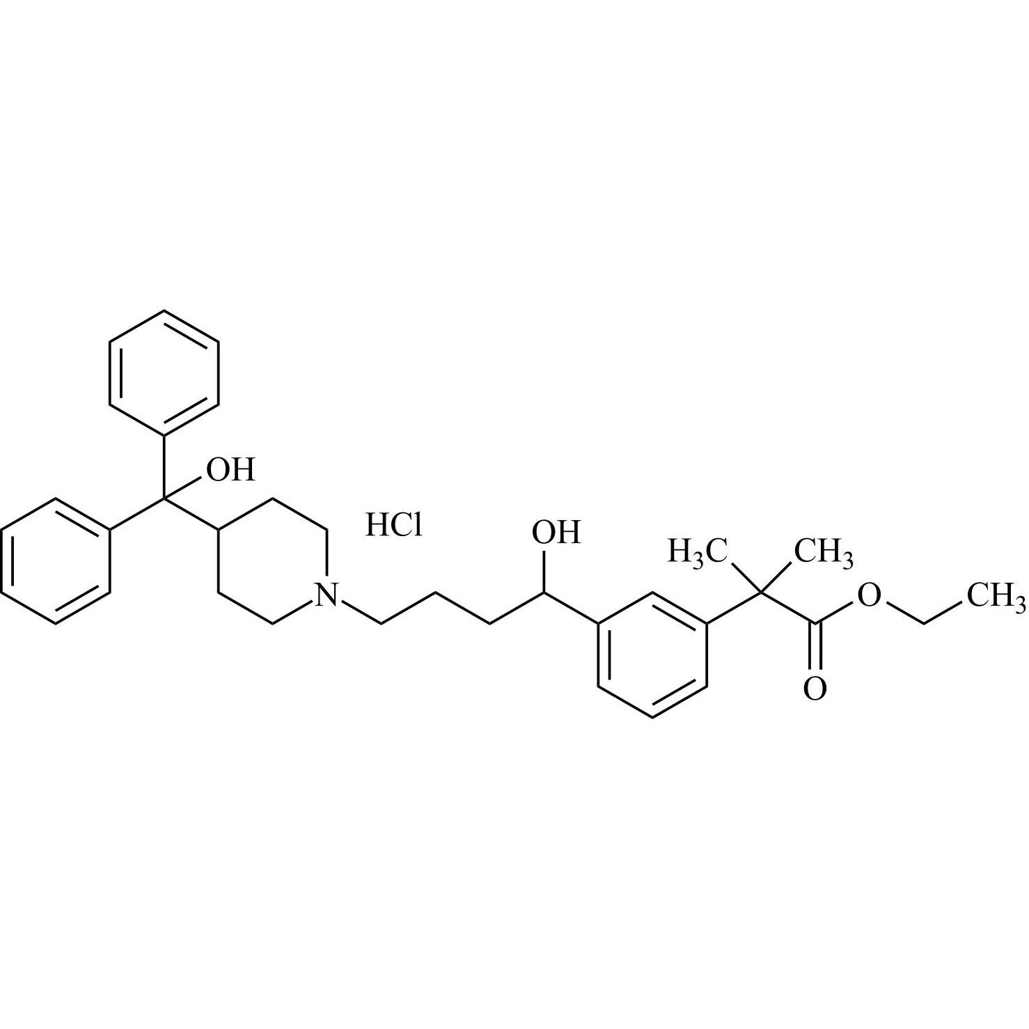
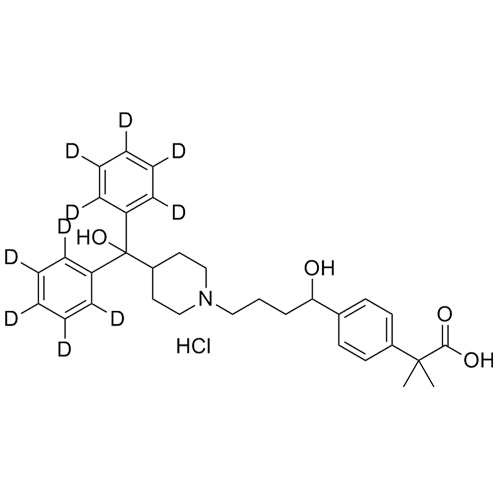
- Synonyms4-(4-(hydroxydiphenylmethyl)piperidin-1-yl)-1-(4-isopropylphenyl)butan-1-ol hydrochloride
- Description
4-(4-(hydroxydiphenylmethyl)piperidin-1-yl)-1-(4-isopropylphenyl)butan-1-ol hydrochloride
Fexofenadine EP Impurity C HCl is a fully characterized chemical compound used as a reference standard of API Fexofenadine. The standard offered is compliant with regulatory guidelines. Fexofenadine EP Impurity C HCl is used for analytical method development, method validation (AMV), and Quality Controlled (QC) applications during synthesis and formulation stages of drug development and serves as a reference standard for traceability against pharmacopeial standards (USP or EP). Axios Research products are intended for analytical purposes only and are not for human use. CAS - NA
Related products
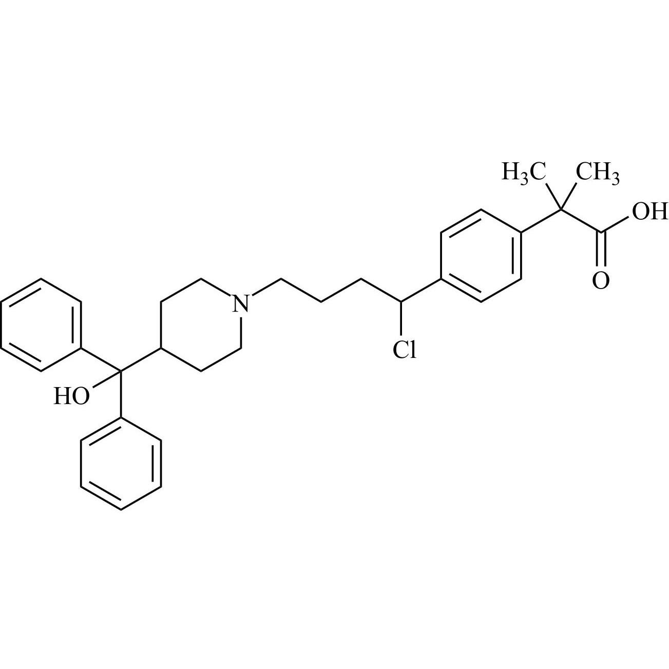
Methyl 2-(4-(4-chlorobutanoyl)phenyl)-2-methylpropanoate
M.F.
M.W. 282.76
CAT# AR-F09372
CAS# 154477-54-0
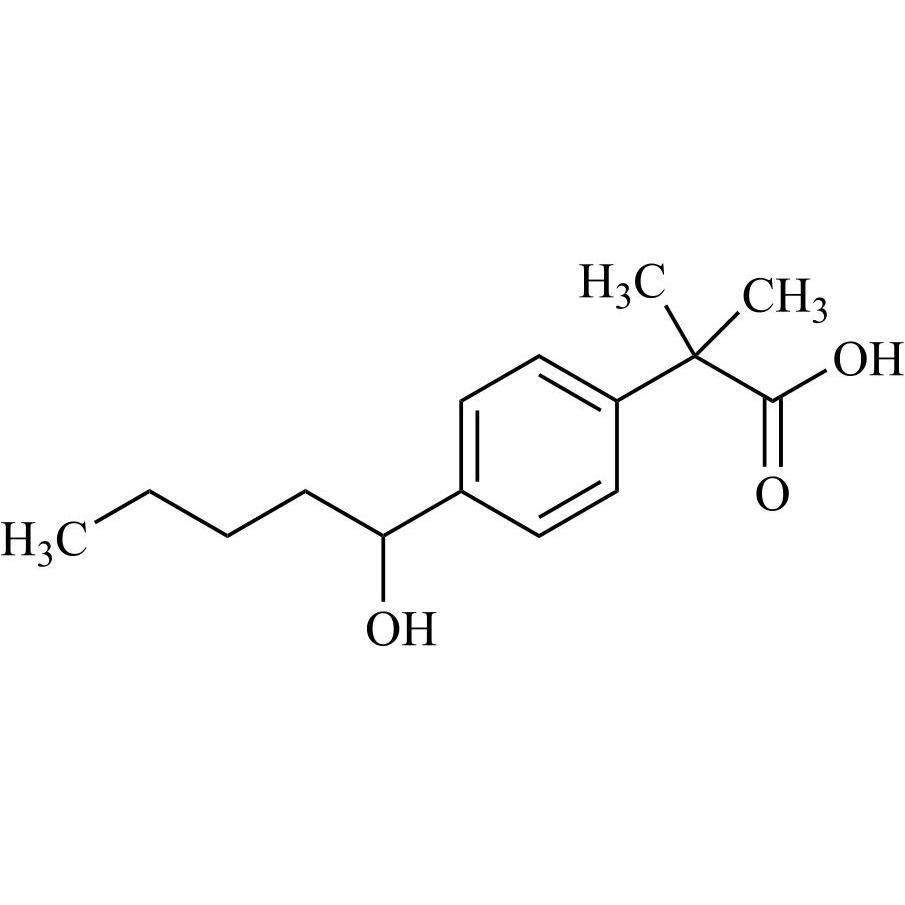
2-(4-(4-Chlorobutanoyl)phenyl)-2-methylpropyl acetate
M.F.
M.W. 296.8
CAT# AR-F09495
CAS# 169032-11-5
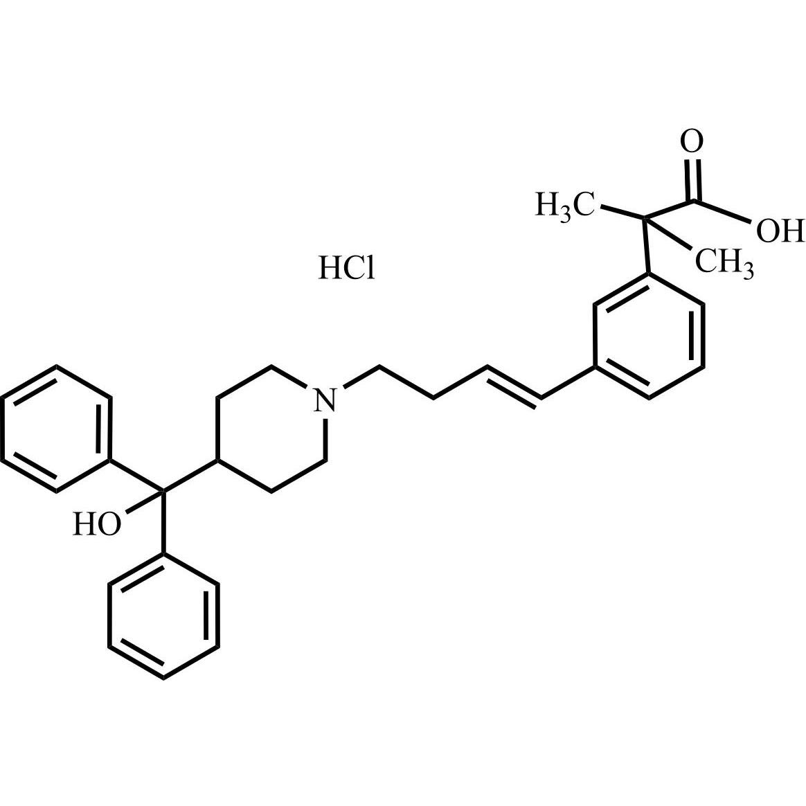
Ethyl 2-(4-(4-chlorobutanoyl)phenyl)-2-methylpropanoate
M.F.
M.W. 296.8
CAT# AR-F09496
CAS# 76811-97-7
Fexofenadine EP Impurity F HCl (Mixture of Diastereomers)
M.F.
M.W. 487.64 36.46
CAT# AR-F10002
CAS# NA