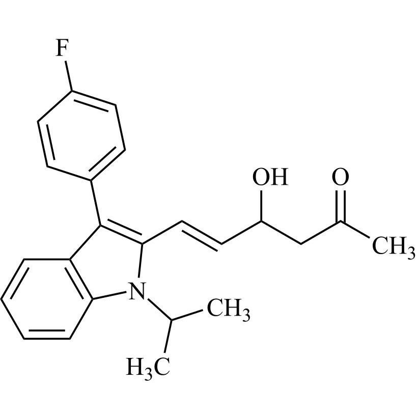
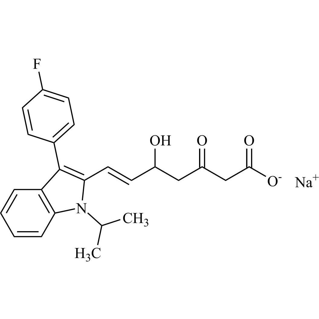
- Synonyms[R*,S*-(E)]-(+/-)-7-[1-Ethyl-3-(4-fluorophenyl)-1H-indol-2-yl]-3,5-dihydroxy-6-heptenoic Acid Monosodium Salt; Fluvastatin Impurity;
- Description
[R*,S*-(E)]-(+/-)-7-[1-Ethyl-3-(4-fluorophenyl)-1H-indol-2-yl]-3,5-dihydroxy-6-heptenoic Acid Monosodium Salt; Fluvastatin Impurity;
Fluvastatin N-Ethyl Impurity Sodium Salt is a fully characterized chemical compound used as a reference standard of API Fluvastatin. The standard offered is compliant with regulatory guidelines. Fluvastatin N-Ethyl Impurity Sodium Salt is used for analytical method development, method validation (AMV), and Quality Controlled (QC) applications during synthesis and formulation stages of drug development and serves as a reference standard for traceability against pharmacopeial standards (USP or EP). Axios Research products are intended for analytical purposes only and are not for human use. CAS - 93936-64-2
Related products
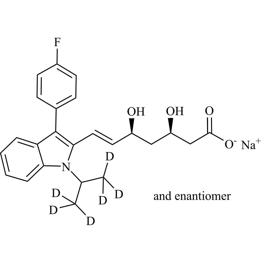
(3S,5R)-Fluvastatin-d6 Sodium Salt
M.F.
M.W. 416.51 22.99
CAT# AR-F01901
CAS# 94061-81-1 (non-labelled)
(3R,5S)-Fluvastatin-d6 Sodium Salt
M.F.
M.W. 416.51 22.99
CAT# AR-F01902
CAS# 94061-80-0 (non-labelled)