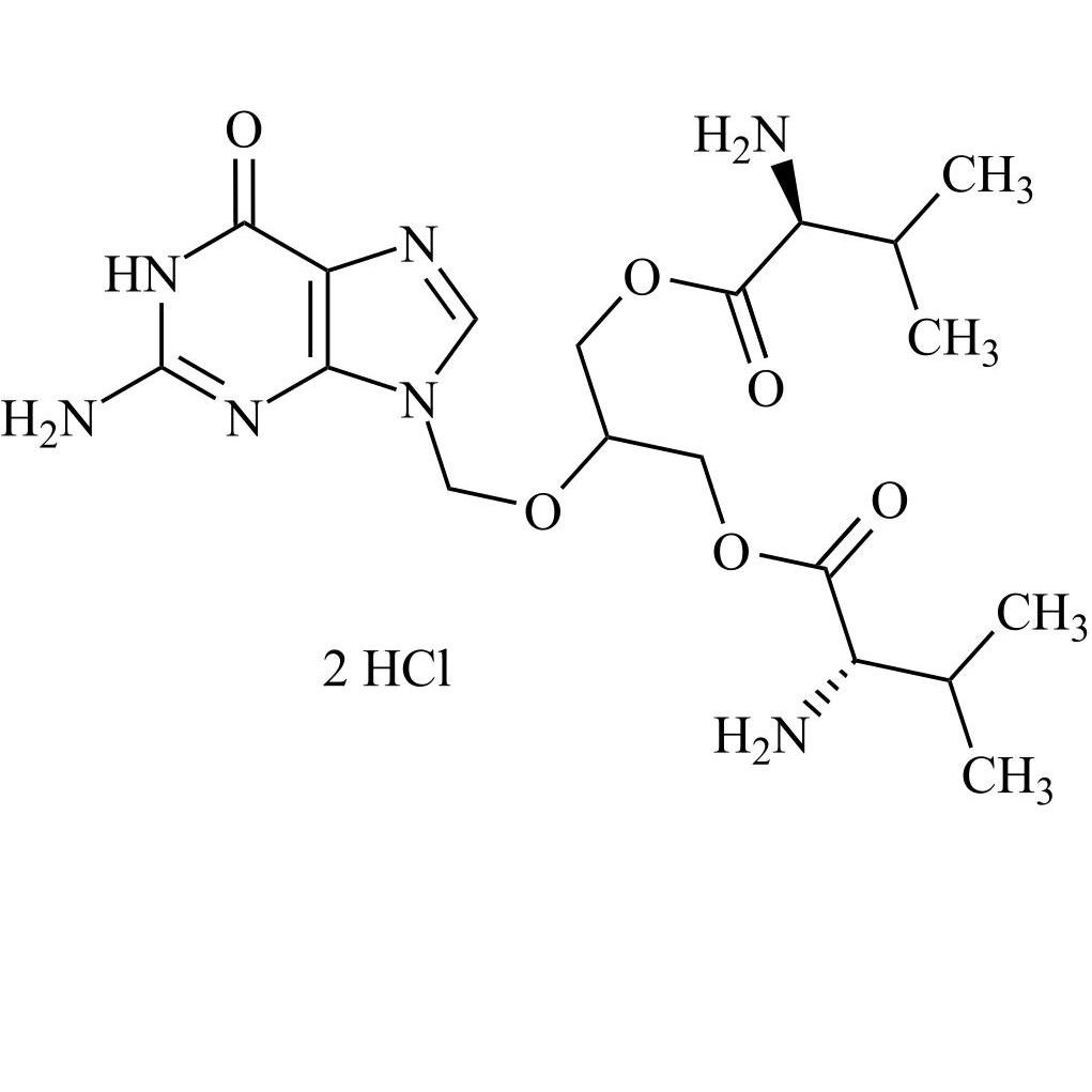
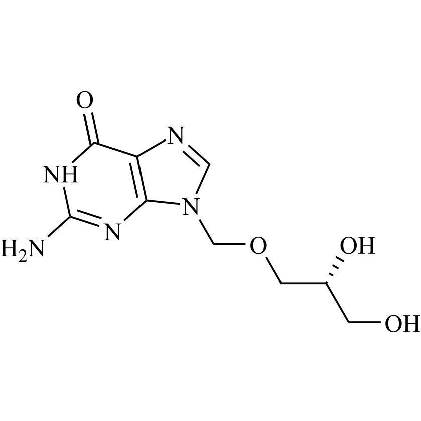
- Synonyms2-((6-oxo-2-propionamido-1H-purin-9(6H)-yl)methoxy)propane-1,3-diyldipropionate;Ganciclovir EP Impurity J; N-[6,9-Dihydro-6-oxo-9-[[2-(1-oxopropoxy)-1-[(1-oxopropoxy)methyl]ethoxy]methyl]-1H-purin-2-yl]-propanamide;O,O',N-Tripropanal Ganciclovir
- Description
2-((6-oxo-2-propionamido-1H-purin-9(6H)-yl)methoxy)propane-1,3-diyldipropionate;Ganciclovir EP Impurity J; N-[6,9-Dihydro-6-oxo-9-[[2-(1-oxopropoxy)-1-[(1-oxopropoxy)methyl]ethoxy]methyl]-1H-purin-2-yl]-propanamide;O,O',N-Tripropanal Ganciclovir
Ganciclovir EP Impurity J is a fully characterized chemical compound used as a reference standard of API Ganciclovir. The standard offered is compliant with regulatory guidelines. Ganciclovir EP Impurity J is used for analytical method development, method validation (AMV), and Quality Controlled (QC) applications during synthesis and formulation stages of drug development and serves as a reference standard for traceability against pharmacopeial standards (USP or EP). Axios Research products are intended for analytical purposes only and are not for human use. CAS - 177216-32-9
Related products
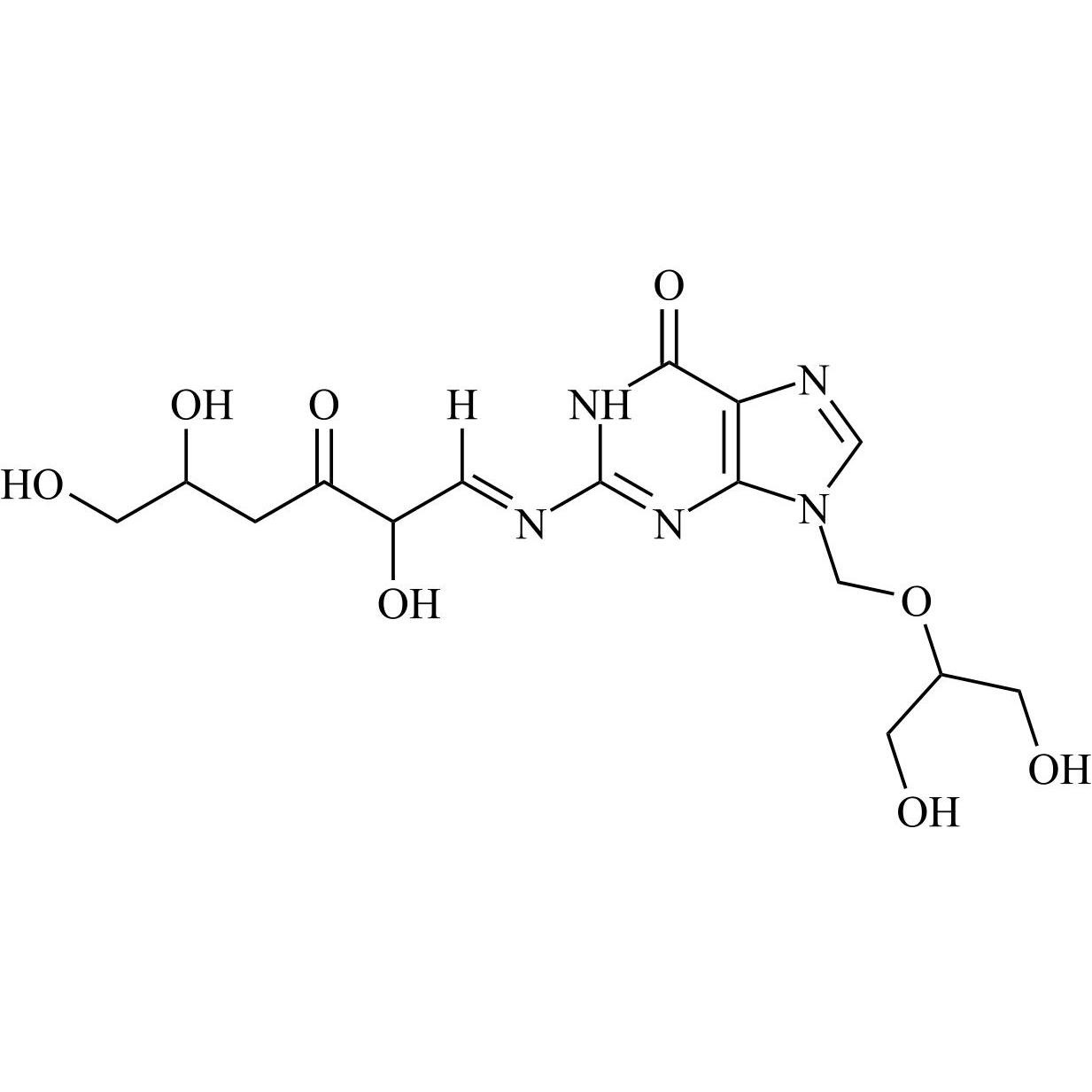
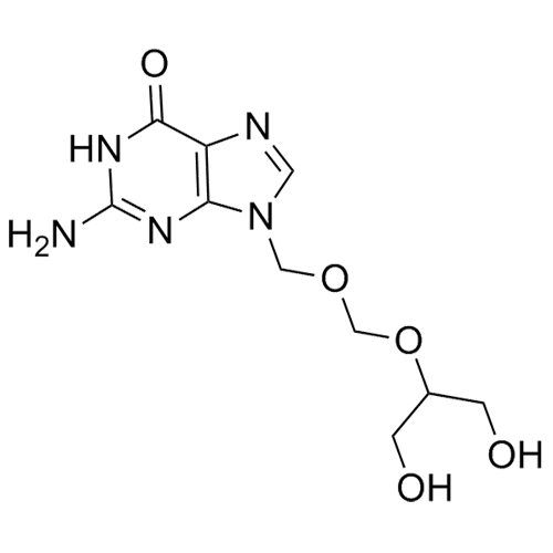
Valganciclovir Impurity 2 HCl (Mixture of Tautomeric Isomers)
M.F.
M.W. 354.37 36.46
CAT# AR-G01110
CAS# NA
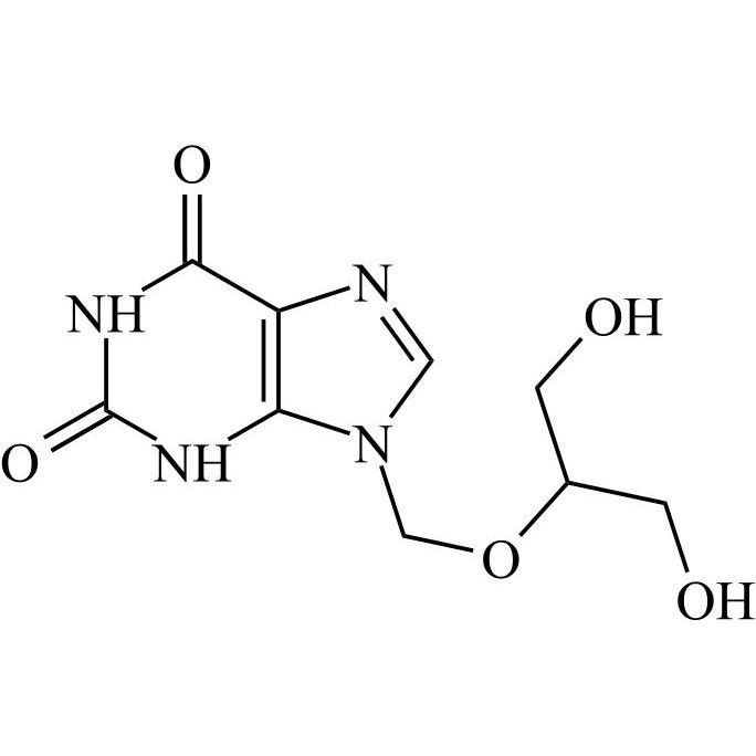
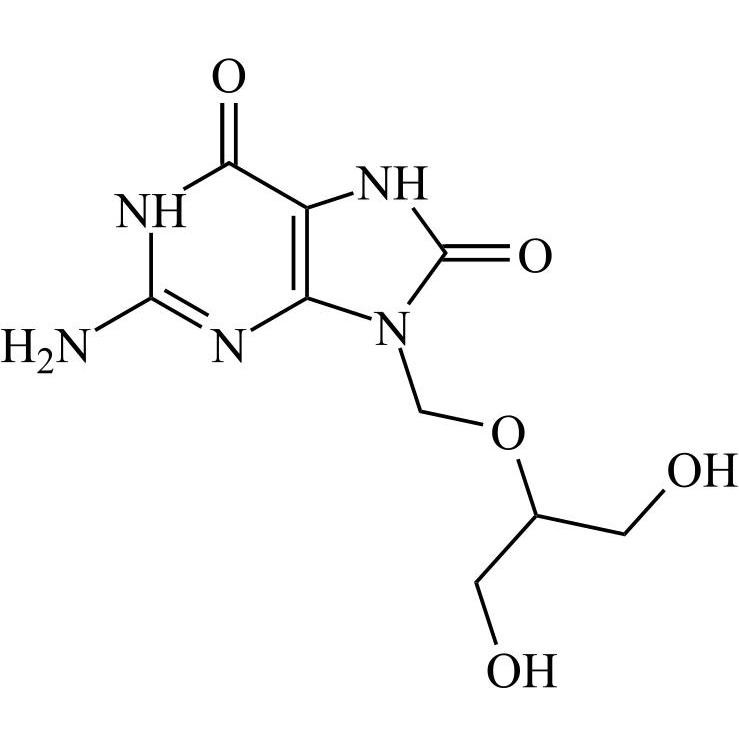
Ganciclovir EP Impurity B (Ganciclovir Monopropionate)
M.F.
M.W. 311.3
CAT# AR-G01098
CAS# 194159-18-7
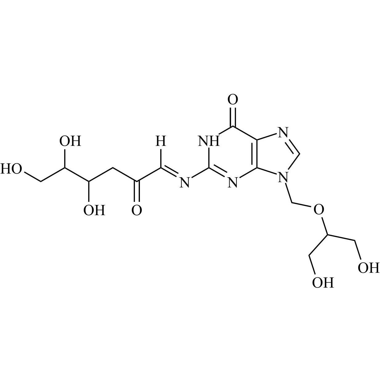
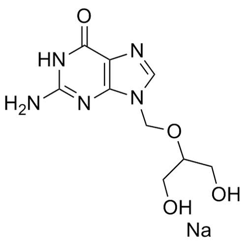
D-Valganciclovir HCl (Mixture of Diastereomers)
M.F.
M.W. 354.37; 36.46
CAT# AR-G01104
CAS# 1393911-57-3
Valganciclovir-d5 HCl (Mixture of Diastereomers)
M.F.
M.W. 359.40 36.46
CAT# AR-G01097
CAS# 175865-59-5 (non-labelled)
Valganciclovir-d8 (Mixture of Diastereomers)
M.F.
M.W. 362.42
CAT# AR-G01115
CAS# 175865-60-8 (non-labelled)