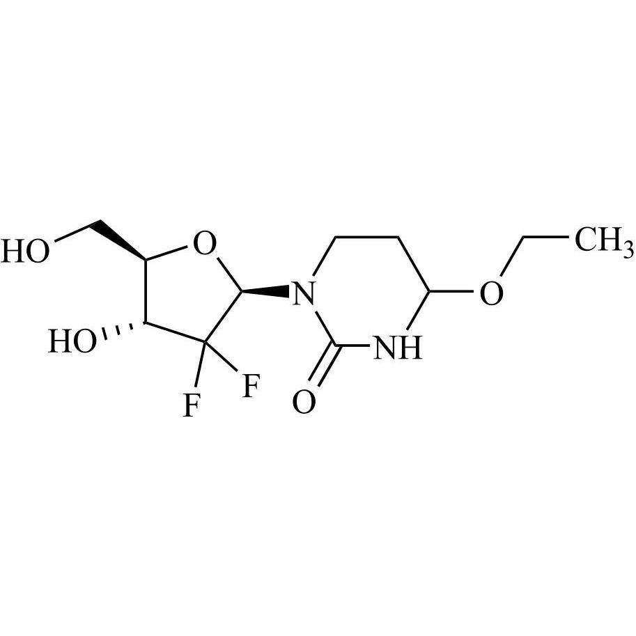
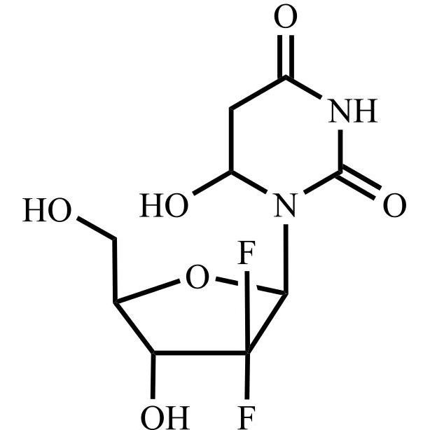
- Synonyms((2R,3R,5R)-5-(4-amino-2-oxopyrimidin-1(2H)-yl)-4,4-difluoro-3-hydroxytetrahydrofuran-2-yl)methylbenzoate
- Description
((2R,3R,5R)-5-(4-amino-2-oxopyrimidin-1(2H)-yl)-4,4-difluoro-3-hydroxytetrahydrofuran-2-yl)methylbenzoate
Gemcitabine Impurity 6 is a fully characterized chemical compound used as a reference standard of API Gemcitabine. The standard offered is compliant with regulatory guidelines. Gemcitabine Impurity 6 is used for analytical method development, method validation (AMV), and Quality Controlled (QC) applications during synthesis and formulation stages of drug development and serves as a reference standard for traceability against pharmacopeial standards (USP or EP). Axios Research products are intended for analytical purposes only and are not for human use. CAS -
Related products
Gemcitabine EP Impurity A (Cytosine, Lamivudine EP Impurity E)
M.F.
M.W. 111.1
CAT# AR-G01217
CAS# 71-30-7
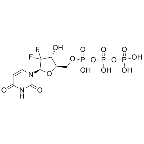
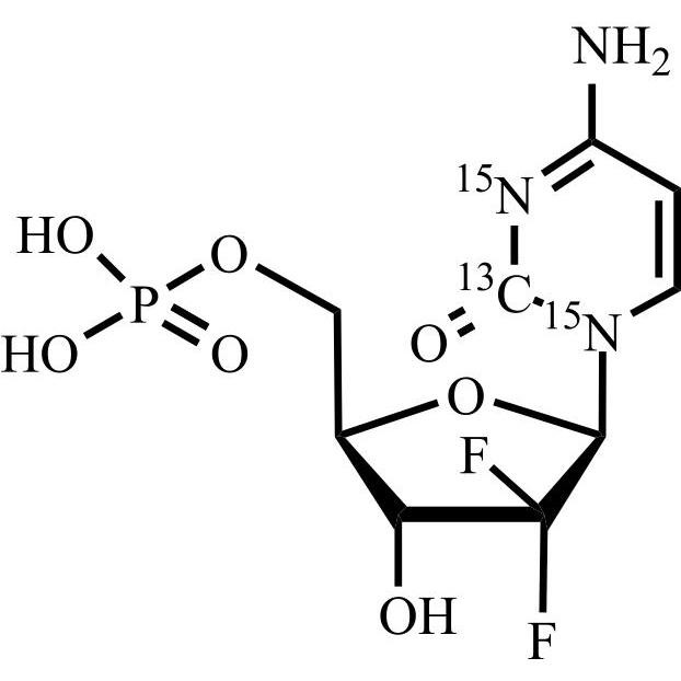
Gemcitabine Triphosphate-13C-15N2 Tri(triethylamine) Salt
M.F.
M.W. 506.12 3 101.19
CAT# AR-G01222
CAS# NA
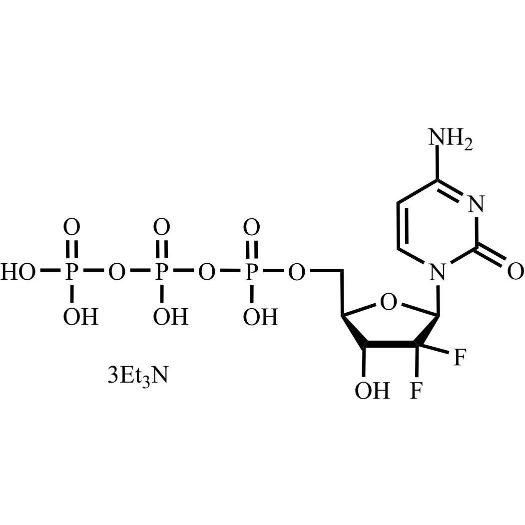
Gemcitabine Diphosphate-13C-15N2 Tri(triethylamine) Salt
M.F.
M.W. 426.14 3 101.19
CAT# AR-G01224
CAS# NA
alpha-Gemcitabine-13C-15N2 HCl
M.F.
M.W. 266.18 36.46
CAT# AR-G01208
CAS# 122111-05-1 (non-labelled)
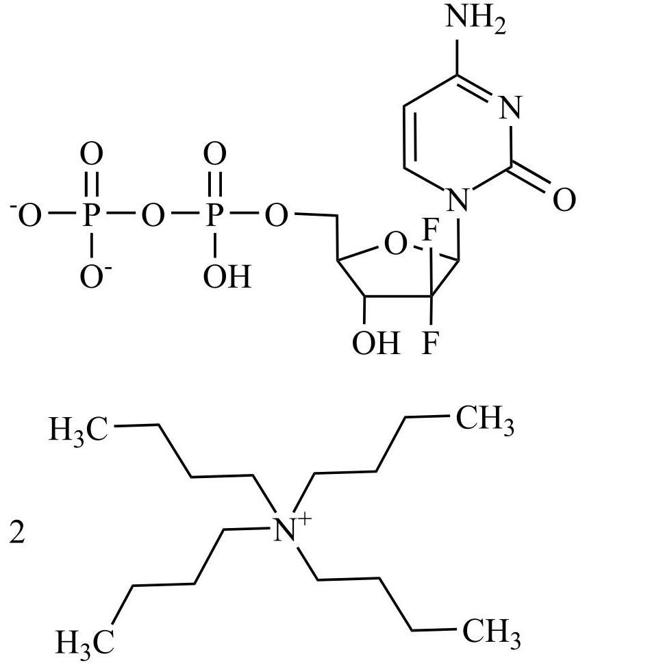
Gemcitabine Triphosphate-13C-15N2 Tri(triethylamine) Salt
M.F.
M.W. 506.12 3 101.19
CAT# AR-G02147
CAS# NA
Gemcitabine Diphosphate-13C-15N2 Tri(triethylamine) Salt
M.F.
M.W. 426.14 3 101.19
CAT# AR-G02148
CAS# NA
Gemcitabine EP Impurity B-13C-15N2 (alpha-Gemcitabine-13C-15N2)
M.F.
M.W. 266.18
CAT# AR-G02179
CAS# 1263030-67-6