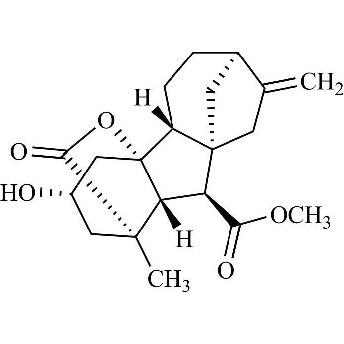
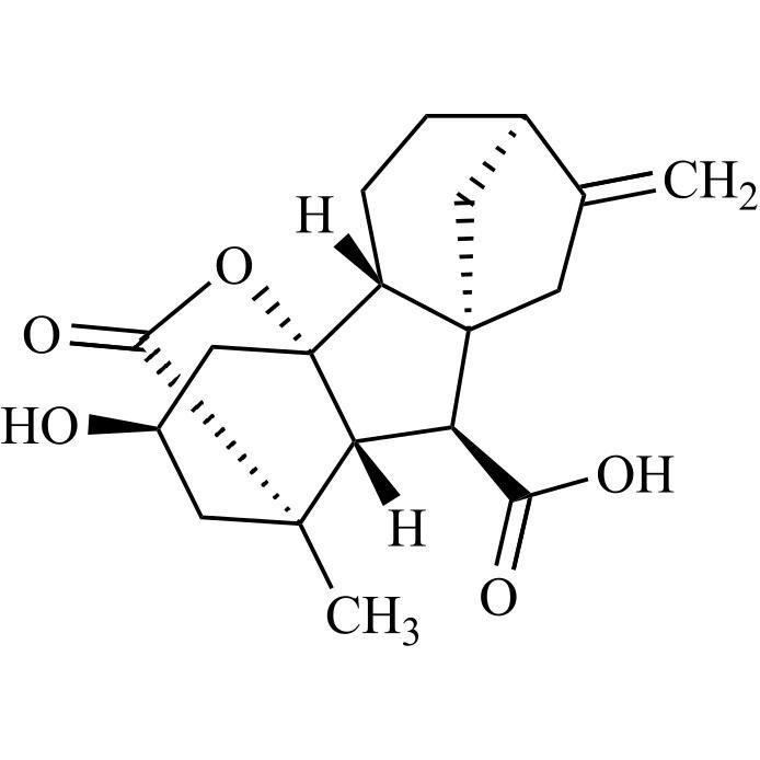
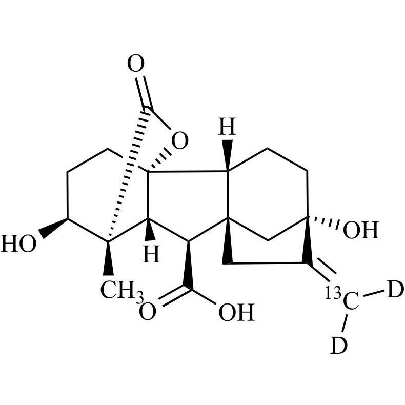
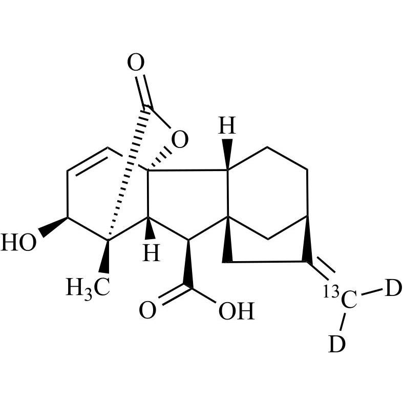
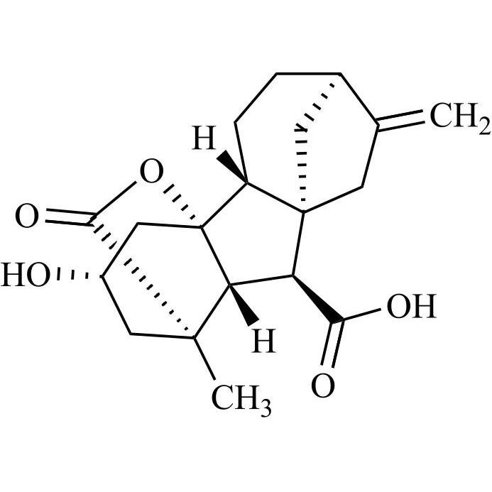
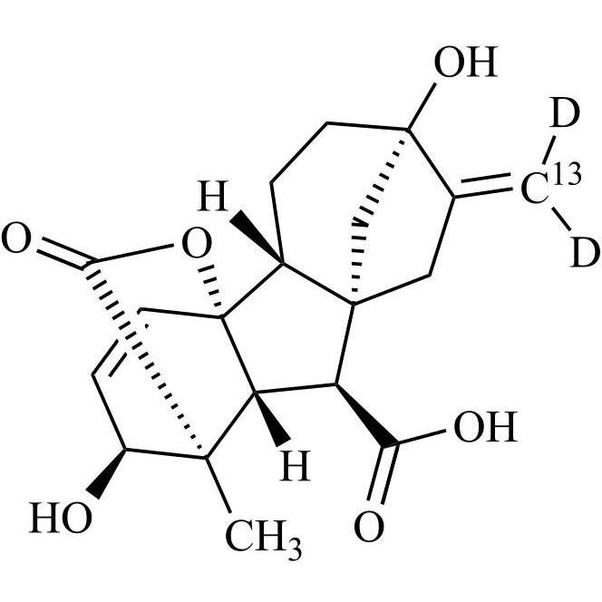
- Synonyms(1S,2S,7S,9aR,10S,10aS)-2,7-dihydroxy-1-methyl-8-methylene-2,5,6,7,8,9,10,10a-octahydro-1H-7,9a-methanobenzo[a]azulene-1,10-dicarboxylic acid
- Description
(1S,2S,7S,9aR,10S,10aS)-2,7-dihydroxy-1-methyl-8-methylene-2,5,6,7,8,9,10,10a-octahydro-1H-7,9a-methanobenzo[a]azulene-1,10-dicarboxylic acid
Gibberellenic Acid is a fully characterized chemical compound used as a reference standard of API Gibberellin. The standard offered is compliant with regulatory guidelines. Gibberellenic Acid is used for analytical method development, method validation (AMV), and Quality Controlled (QC) applications during synthesis and formulation stages of drug development and serves as a reference standard for traceability against pharmacopeial standards (USP or EP). Axios Research products are intended for analytical purposes only and are not for human use. CAS - 546-09-8