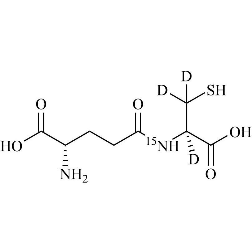
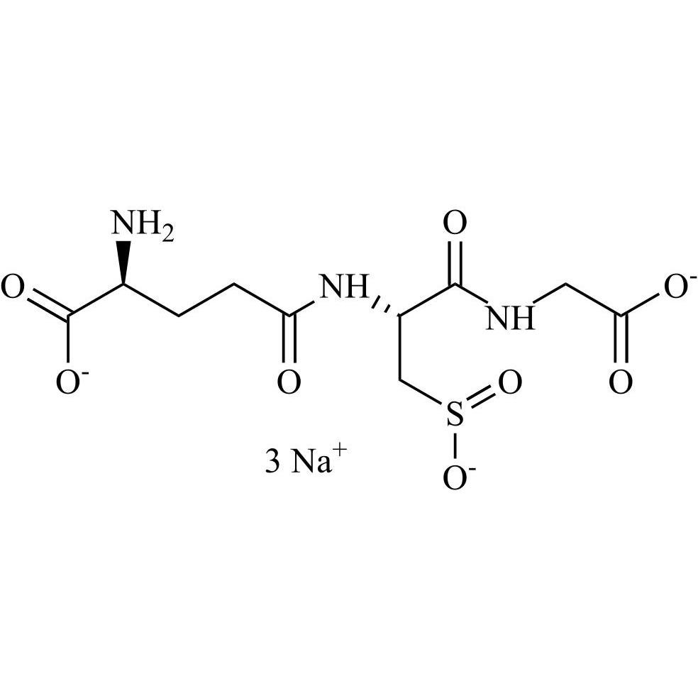
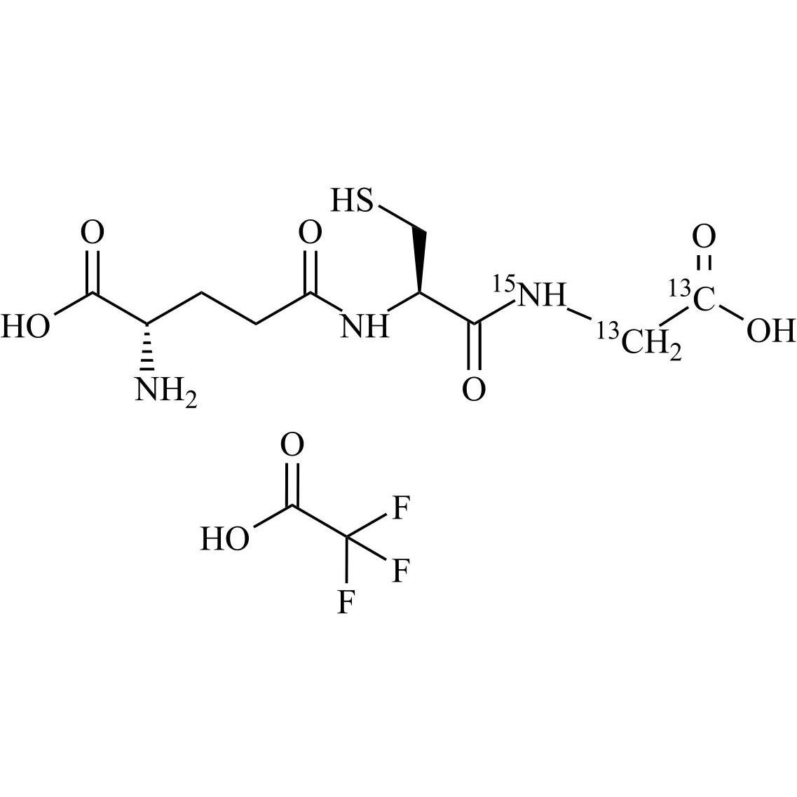
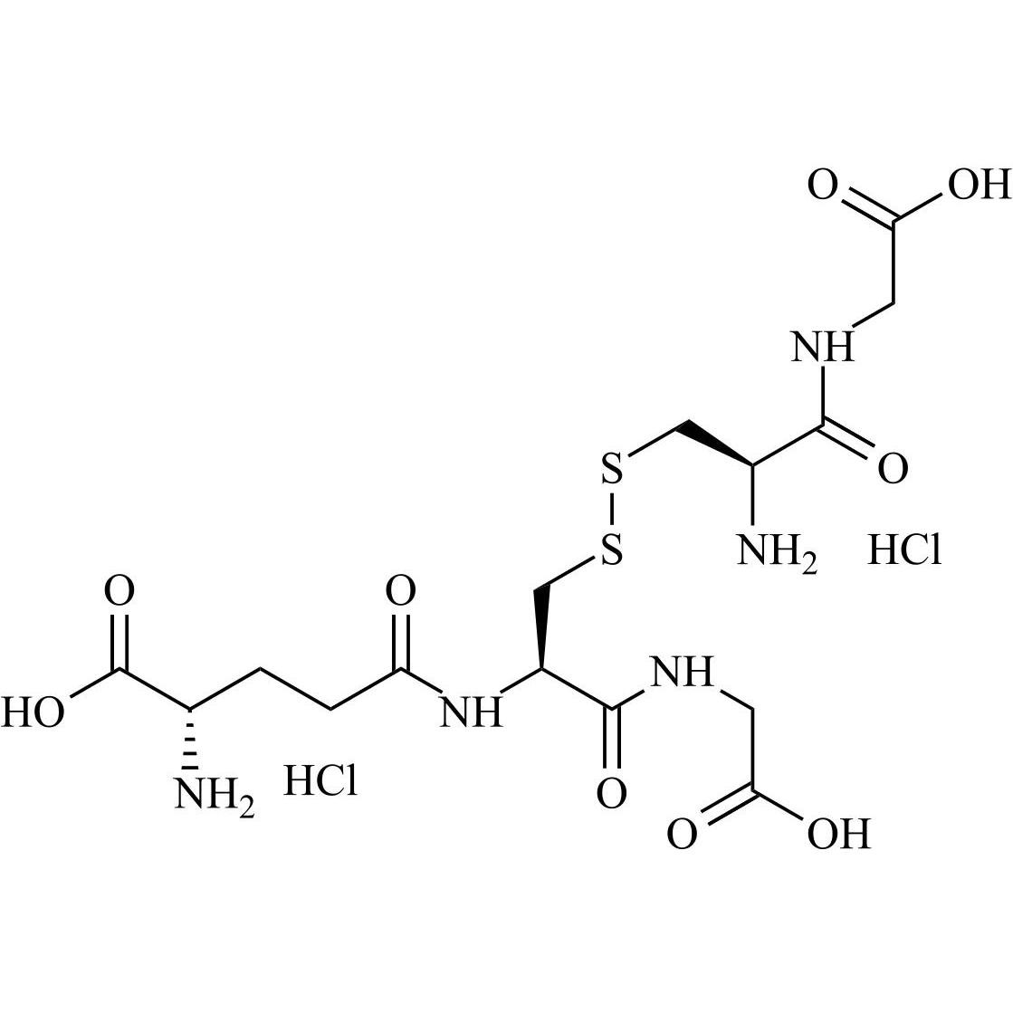
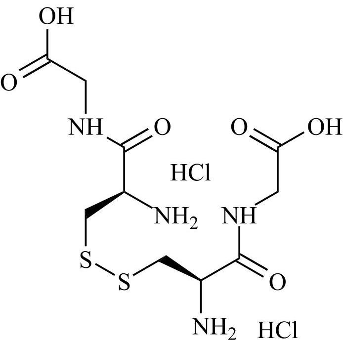
- Synonyms(2S,2'S)-5,5'-(((2R,2'R)-disulfanediylbis(1-((carboxymethyl)amino)-1-oxopropane-3,2-diyl))bis(azanediyl))bis(2-amino-5-oxopentanoicacid)-13C415N2
- Description
(2S,2'S)-5,5'-(((2R,2'R)-disulfanediylbis(1-((carboxymethyl)amino)-1-oxopropane-3,2-diyl))bis(azanediyl))bis(2-amino-5-oxopentanoicacid)-13C415N2
Glutathione Disulfide-13C4-15N2 is a fully characterized chemical compound used as a reference standard of API Glutathione. The standard offered is compliant with regulatory guidelines. Glutathione Disulfide-13C4-15N2 is used for analytical method development, method validation (AMV), and Quality Controlled (QC) applications during synthesis and formulation stages of drug development and serves as a reference standard for traceability against pharmacopeial standards (USP or EP). Axios Research products are intended for analytical purposes only and are not for human use. CAS - 27025-41-8 (non-d)
Related products
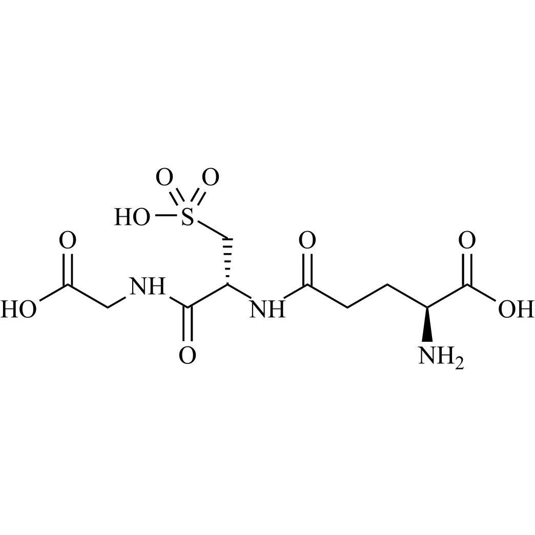
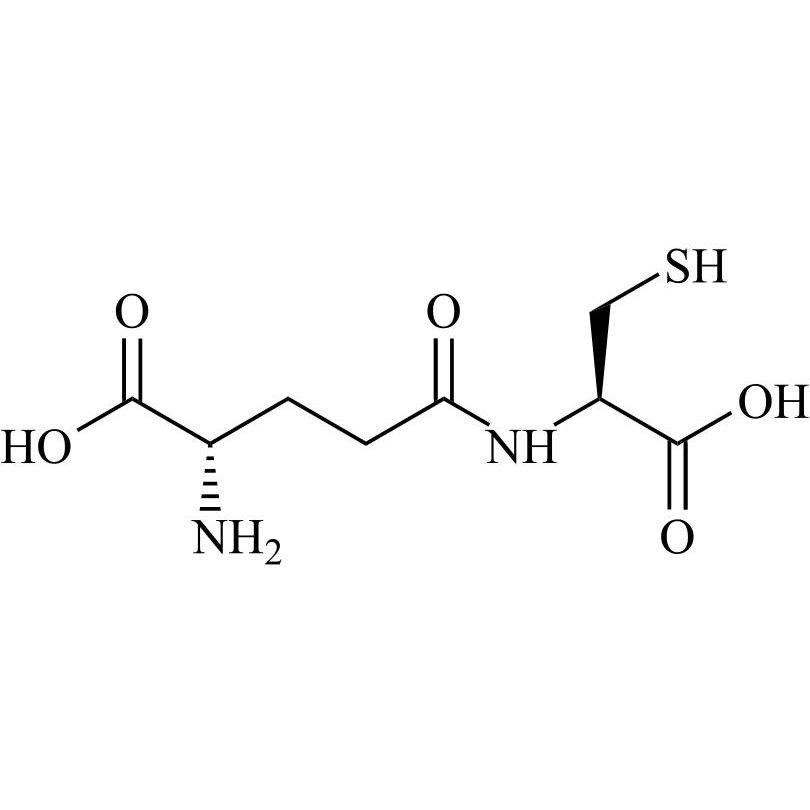
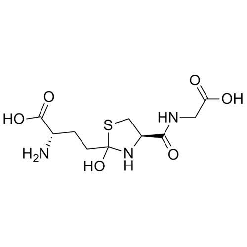
Glutathione (1S,2S)-alpha-Glu-Isomer Trifluoroacetate
M.F.
M.W. 307.33 114.02
CAT# AR-G02531
CAS# NA
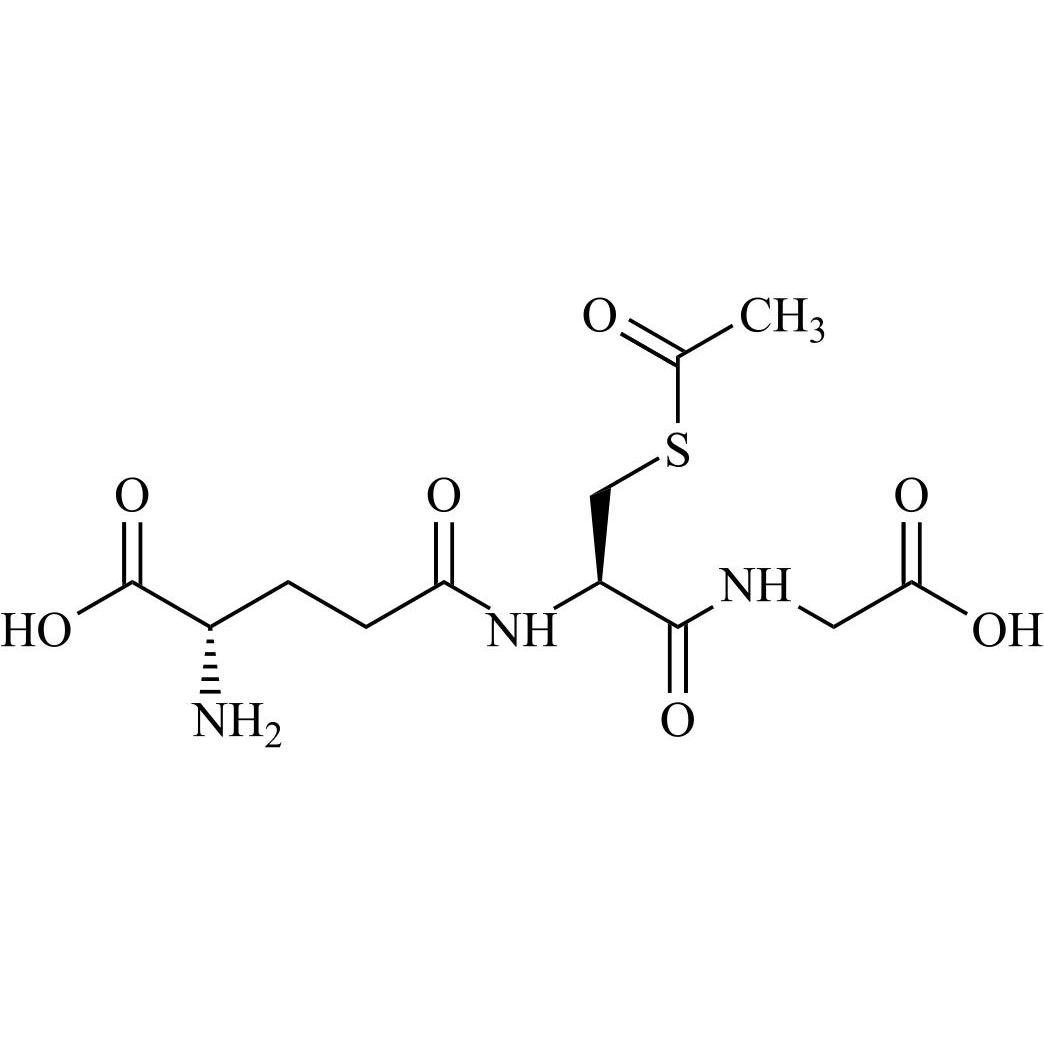
S-(1,2-Dichlorovinyl)-Glutathione-13C2-15N
M.F.
M.W. 405.23
CAT# AR-G01502
CAS# 2148-32-5 (non-labelled)