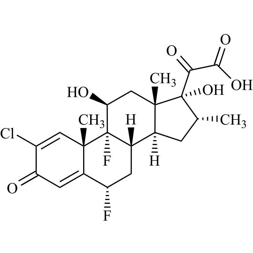
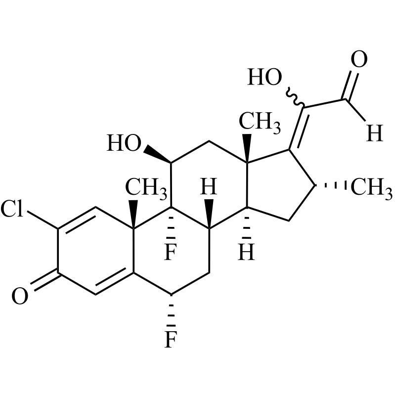
2-((6S,8S,9R,10S,11S,13S,14S,16R,17R)-2-chloro-6,9-difluoro-11,17-dihydroxy-10,13,16-trimethyl-3-oxo-6,7,8,9,10,11,12,13,14,15,16,17-dodecahydro-3H-cyclopenta[a]phenanthren-17-yl)-2-oxoacetaldehyde
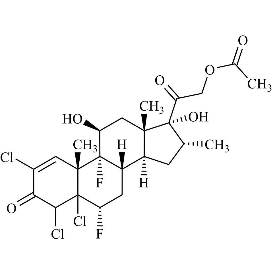
Halometasone Impurity 4 is a fully characterized chemical compound used as a reference standard of API Halometasone. The standard offered is compliant with regulatory guidelines. Halometasone Impurity 4 is used for analytical method development, method validation (AMV), and Quality Controlled (QC) applications during synthesis and formulation stages of drug development and serves as a reference standard for traceability against pharmacopeial standards (USP or EP). Axios Research products are intended for analytical purposes only and are not for human use. CAS -