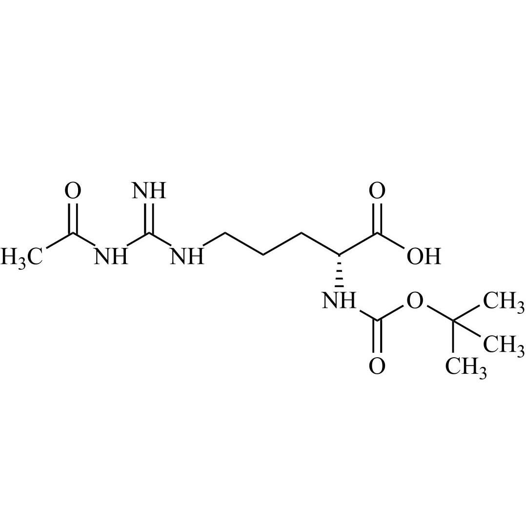
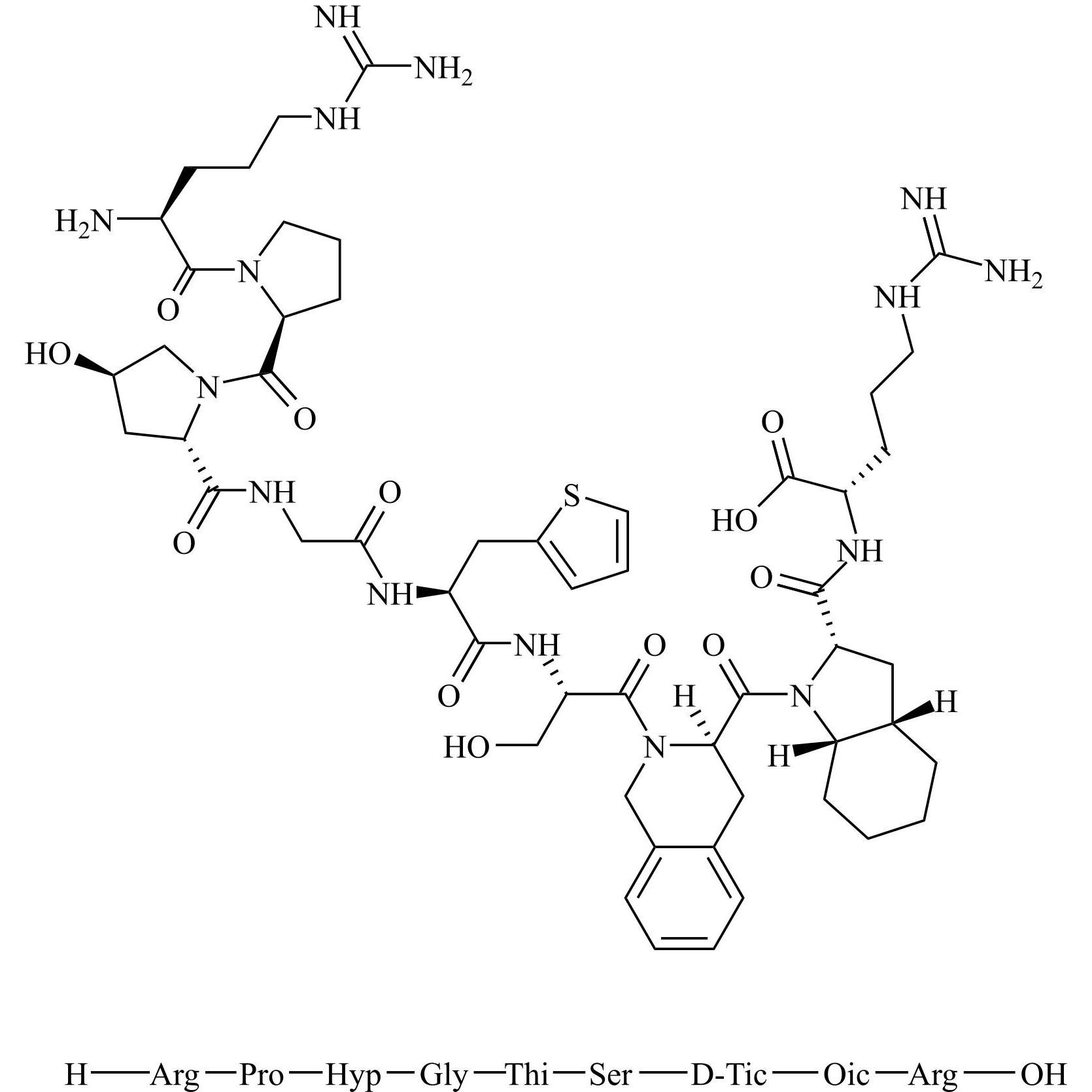
- Synonyms(2S)-2-((3aS,7aS)-1-((3R)-3-((2S)-2-(2-((4R)-1-(1-(2-((R)-2-amino-5-guanidinopentanamido)-5-guanidinopentanoyl)pyrrolidine-2-carbonyl)-4-hydroxypyrrolidine-2-carboxamido)acetamido)-3-(thiophen-2-yl)propanamido)-4-oxo-2,3,4,6,7,11b-hexahydro-[1,3]oxazino[2,3-a]isoquinoline-6-carbonyl)octahydro-1H-...
- Description
(2S)-2-((3aS,7aS)-1-((3R)-3-((2S)-2-(2-((4R)-1-(1-(2-((R)-2-amino-5-guanidinopentanamido)-5-guanidinopentanoyl)pyrrolidine-2-carbonyl)-4-hydroxypyrrolidine-2-carboxamido)acetamido)-3-(thiophen-2-yl)propanamido)-4-oxo-2,3,4,6,7,11b-hexahydro-[1,3]oxazino[2,3-a]isoquinoline-6-carbonyl)octahydro-1H-indole-2-carboxamido)-5-guanidinopentanoicacid
Icatibant Impurity 1 is a fully characterized chemical compound used as a reference standard of API Icatibant. The standard offered is compliant with regulatory guidelines. Icatibant Impurity 1 is used for analytical method development, method validation (AMV), and Quality Controlled (QC) applications during synthesis and formulation stages of drug development and serves as a reference standard for traceability against pharmacopeial standards (USP or EP). Axios Research products are intended for analytical purposes only and are not for human use. CAS -