- Synonyms(S)-2-amino-3-(4-(4-hydroxy-3-iodophenoxy)-3-iodophenyl)propanoic acid;L-Tyrosine, O-(4-hydroxy-3-iodophenyl)-3-iodo- (9CI);Alanine, 3-[4-(4-hydroxy-3-iodophenoxy)-3-iodophenyl]-, L- (8CI);(2S)-2-azanyl-3-[3-iodanyl-4-(3-iodanyl-4-oxidanyl-phenoxy)phenyl]propanoic acid;L-tyrosine, O-(4-hydroxy-3-...
- Description
(S)-2-amino-3-(4-(4-hydroxy-3-iodophenoxy)-3-iodophenyl)propanoic acid;L-Tyrosine, O-(4-hydroxy-3-iodophenyl)-3-iodo- (9CI);Alanine, 3-[4-(4-hydroxy-3-iodophenoxy)-3-iodophenyl]-, L- (8CI);(2S)-2-azanyl-3-[3-iodanyl-4-(3-iodanyl-4-oxidanyl-phenoxy)phenyl]propanoic acid;L-tyrosine, O-(4-hydroxy-3-iodophenyl)-3-iodo-;Levothyroxine Impurity J (3,3'-L-Diiodothyronine)
Levothyroxine EP Impurity J is a fully characterized chemical compound used as a reference standard of API Levothyroxine. The standard offered is compliant with regulatory guidelines. Levothyroxine EP Impurity J is used for analytical method development, method validation (AMV), and Quality Controlled (QC) applications during synthesis and formulation stages of drug development and serves as a reference standard for traceability against pharmacopeial standards (USP or EP). Axios Research products are intended for analytical purposes only and are not for human use. CAS - 4604-41-5
Related products
4-(4-Hydroxy-3,5-diiodophenoxy)-3,5-diiodo-benzenemethanol
M.F.
M.W. 719.82
CAT# AR-L13678
CAS# 2055-94-9
alpha-Amino-4-hydroxy-3,5-diiodo-benzeneacetic Acid
M.F.
M.W. 418.96
CAT# AR-T06038
CAS# 854646-83-6
2-(4-(4-Hydroxy-3,5-diiodophenoxy)-3,5-diiodophenyl)acetic acid
M.F.
M.W. 747.84
CAT# AR-L01604
CAS# NA
rac-Levothyroxine EP Impurity J HCl (3,3'-DL-Diiodothyronine HCl)
M.F.
M.W. 525.08 36.46
CAT# AR-L07173
CAS# 2668306-64-5
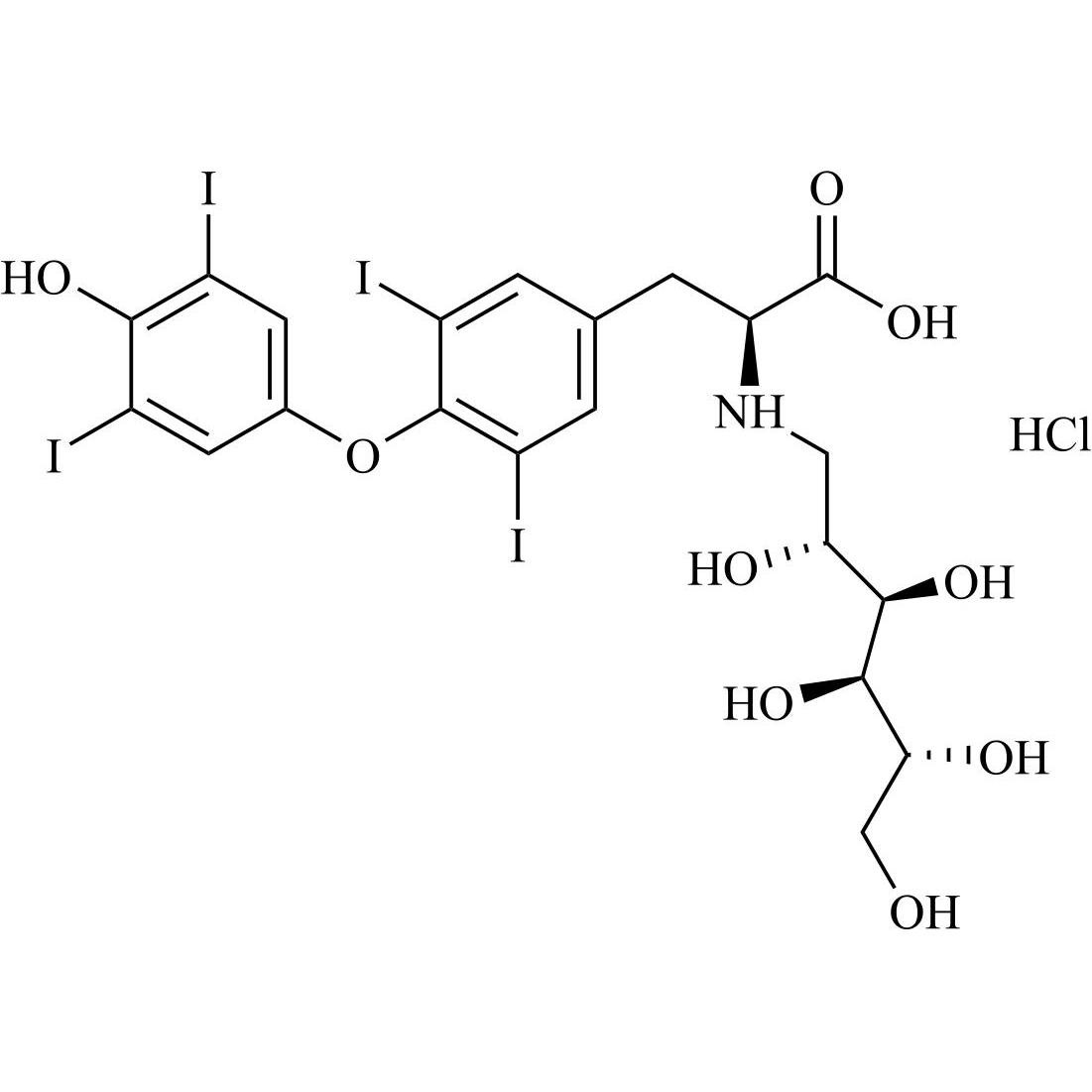
Levothyroxine EP Impurity J HCl (3,3'-L-Diiodothyronine HCl)
M.F.
M.W. 525.08 36.46
CAT# AR-L07172
CAS# NA