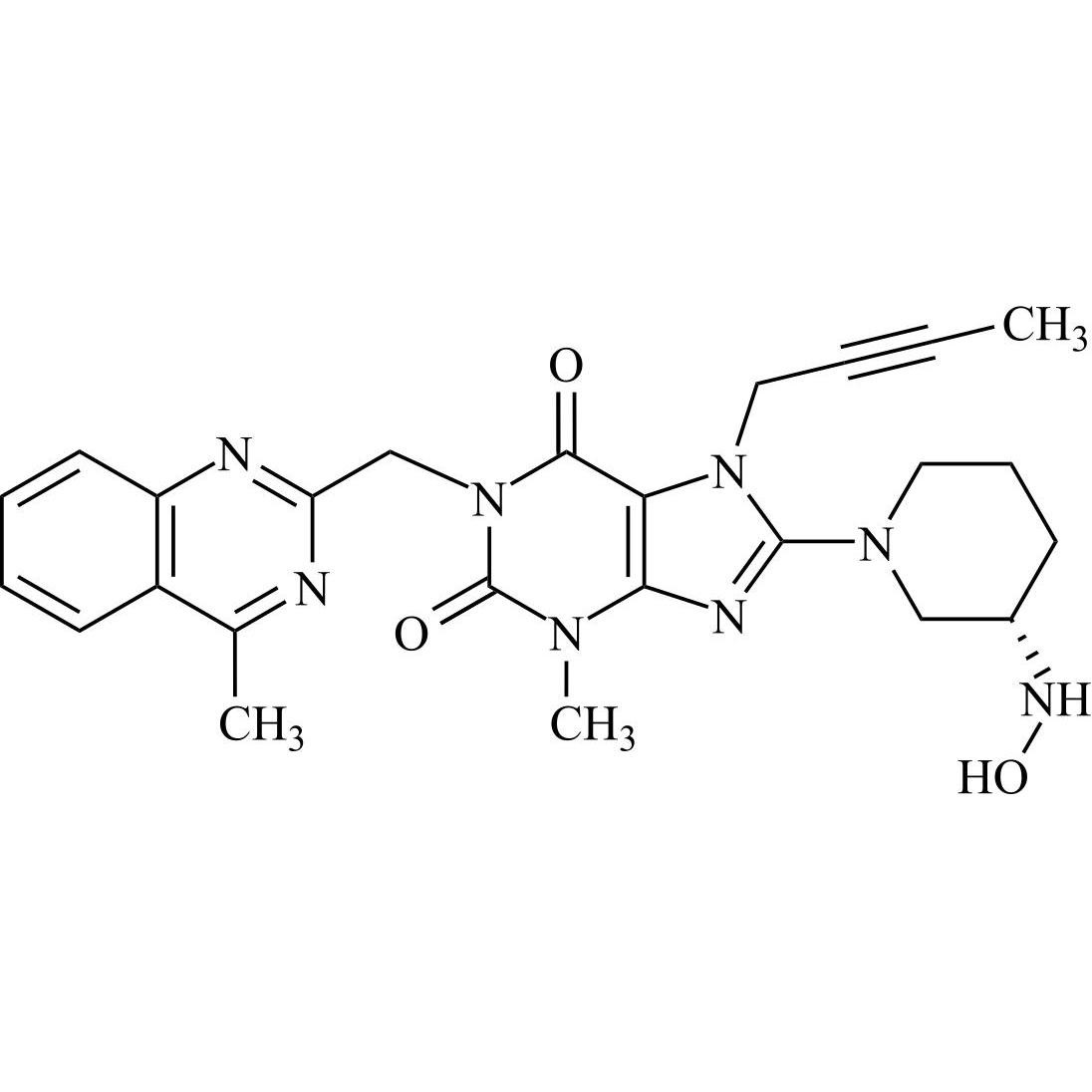
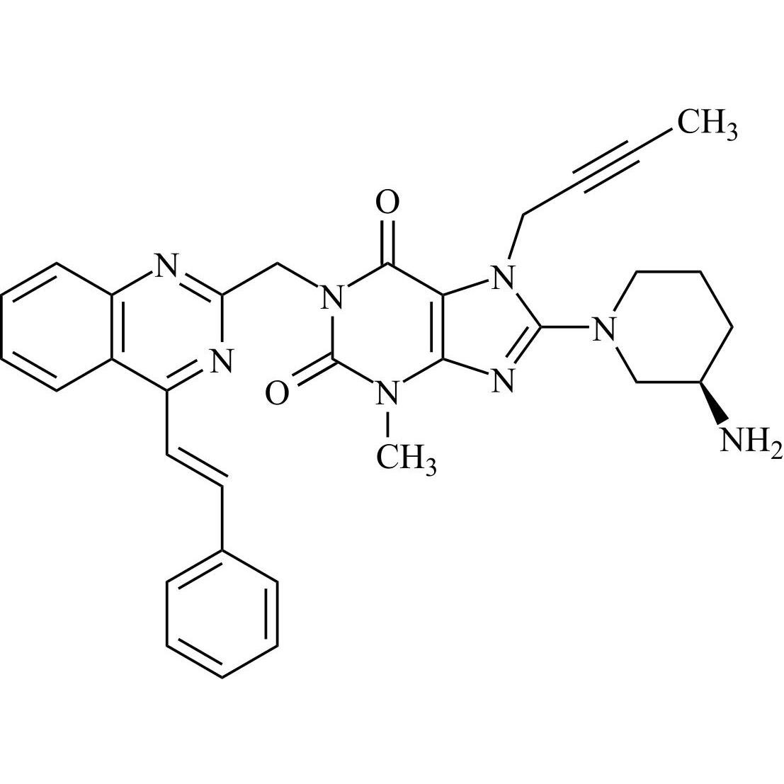
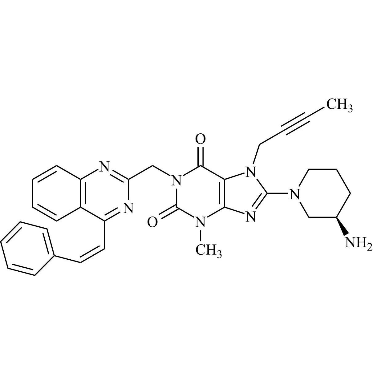
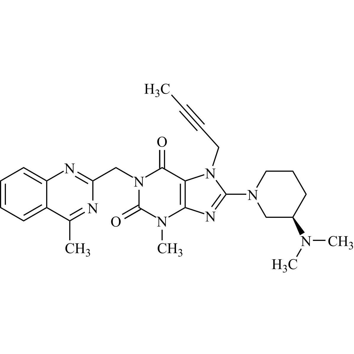
- Synonyms(R)-N-(1-(7-(But-2-yn-1-yl)-3-methyl-1-((4-methylquinazolin-2-yl)methyl)-2,6-dioxo-2,3,6,7-tetrahydro-1H-purin-8-yl)piperidin-3-yl)acetamide
- Description
(R)-N-(1-(7-(But-2-yn-1-yl)-3-methyl-1-((4-methylquinazolin-2-yl)methyl)-2,6-dioxo-2,3,6,7-tetrahydro-1H-purin-8-yl)piperidin-3-yl)acetamide
Linagliptin N-Acetyl Impurity is a fully characterized chemical compound used as a reference standard of API Linagliptin. The standard offered is compliant with regulatory guidelines. Linagliptin N-Acetyl Impurity is used for analytical method development, method validation (AMV), and Quality Controlled (QC) applications during synthesis and formulation stages of drug development and serves as a reference standard for traceability against pharmacopeial standards (USP or EP). Axios Research products are intended for analytical purposes only and are not for human use. CAS - 1803079-49-3
Related products
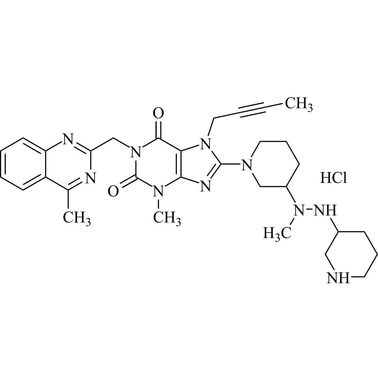
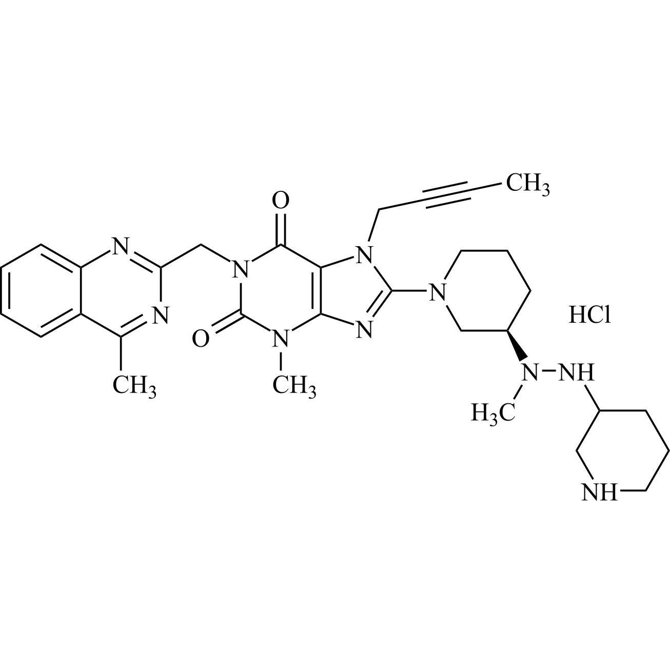
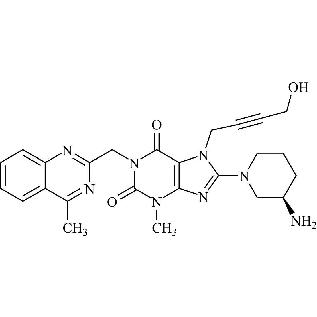
Linagliptin Impurity 97 Trifluoroacetate (Mixture of Isomers)
M.F.
M.W. 634.70 114.02
CAT# AR-L07359
CAS# NA