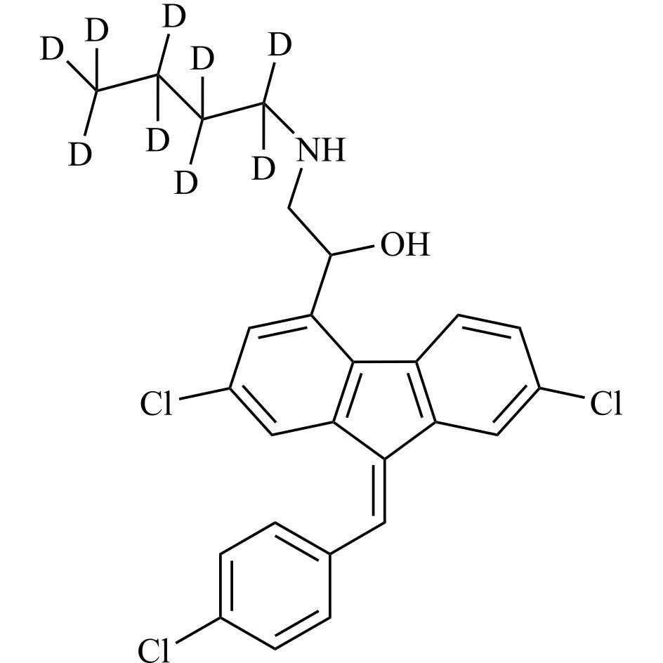
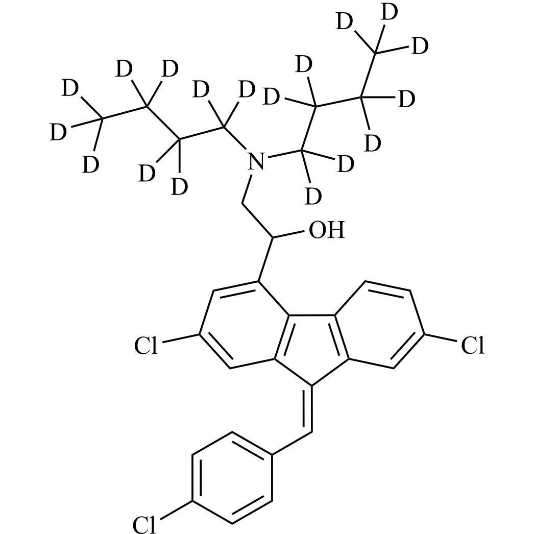
- Synonyms(Z)-2-(dibutylamino)-1-(2,7-dichloro-9-(4-chlorobenzylidene)-9H-fluoren-4-yl)ethanol-D9
- Description
(Z)-2-(dibutylamino)-1-(2,7-dichloro-9-(4-chlorobenzylidene)-9H-fluoren-4-yl)ethanol-D9
Lumefantrine-d9 (Benflumetol-d9) is a fully characterized chemical compound used as a reference standard of API Lumefantrine. The standard offered is compliant with regulatory guidelines. Lumefantrine-d9 (Benflumetol-d9) is used for analytical method development, method validation (AMV), and Quality Controlled (QC) applications during synthesis and formulation stages of drug development and serves as a reference standard for traceability against pharmacopeial standards (USP or EP). Axios Research products are intended for analytical purposes only and are not for human use. CAS - NA
Related products
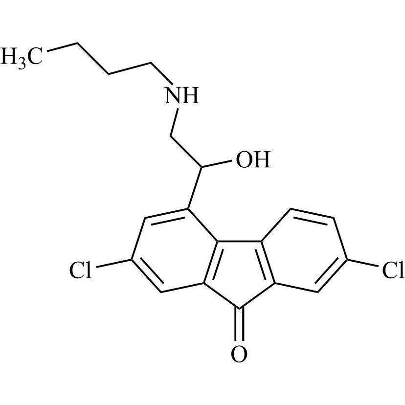
N-Nitroso Desbutyl Lumefantrine (Mixture of Z and E Isomers)
M.F.
M.W. 501.83
CAT# AR-L07967
CAS# NA
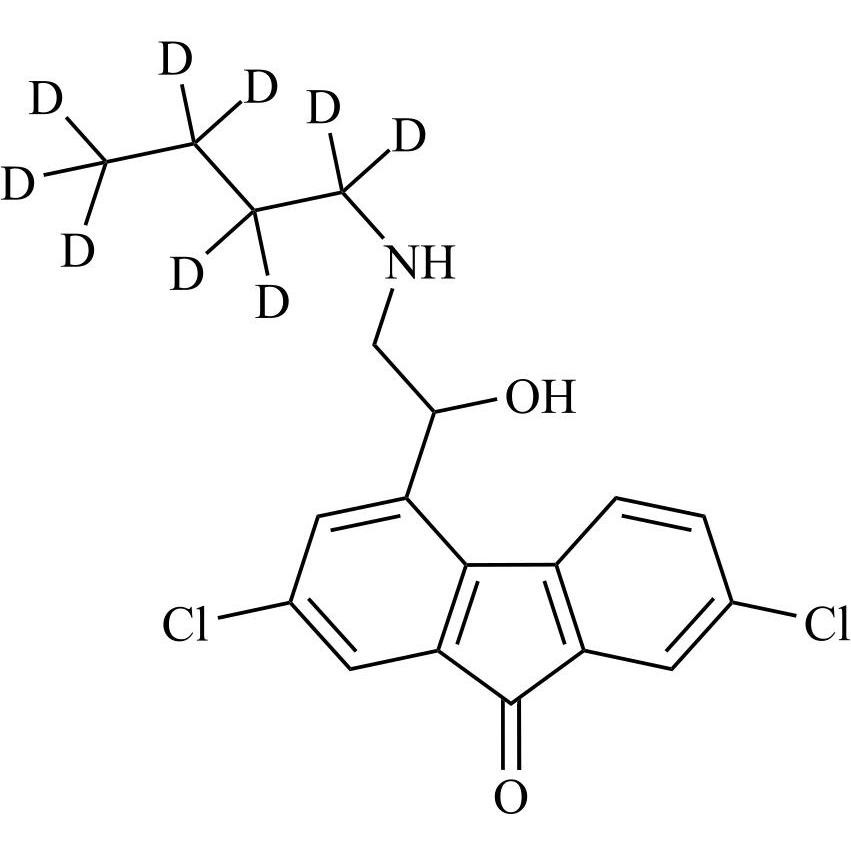
Desbutyl Lumefantrine-d9 (Mixture of Z and E Isomers)
M.F.
M.W. 481.89
CAT# AR-L07965
CAS# 1346606-35-6