3-Methylbenzenemethanol; m-Methylbenzyl Alcohol
m-Tolylmethanol is a fully characterized chemical compound used as a reference standard of API Meclizine. The standard offered is compliant with regulatory guidelines. m-Tolylmethanol is used for analytical method development, method validation (AMV), and Quality Controlled (QC) applications during synthesis and formulation stages of drug development and serves as a reference standard for traceability against pharmacopeial standards (USP or EP). Axios Research products are intended for analytical purposes only and are not for human use. CAS - 587-03-1
Related products
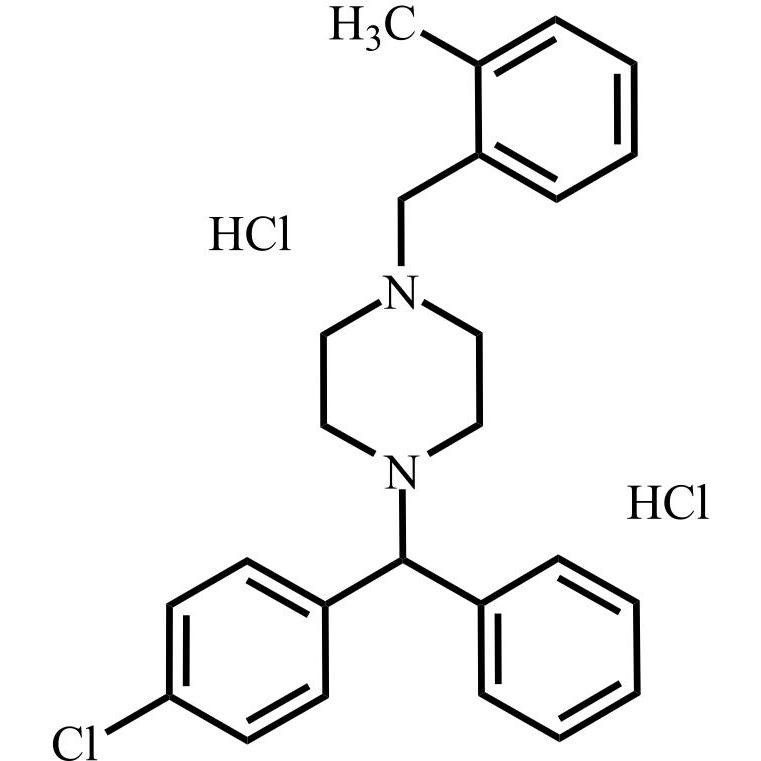
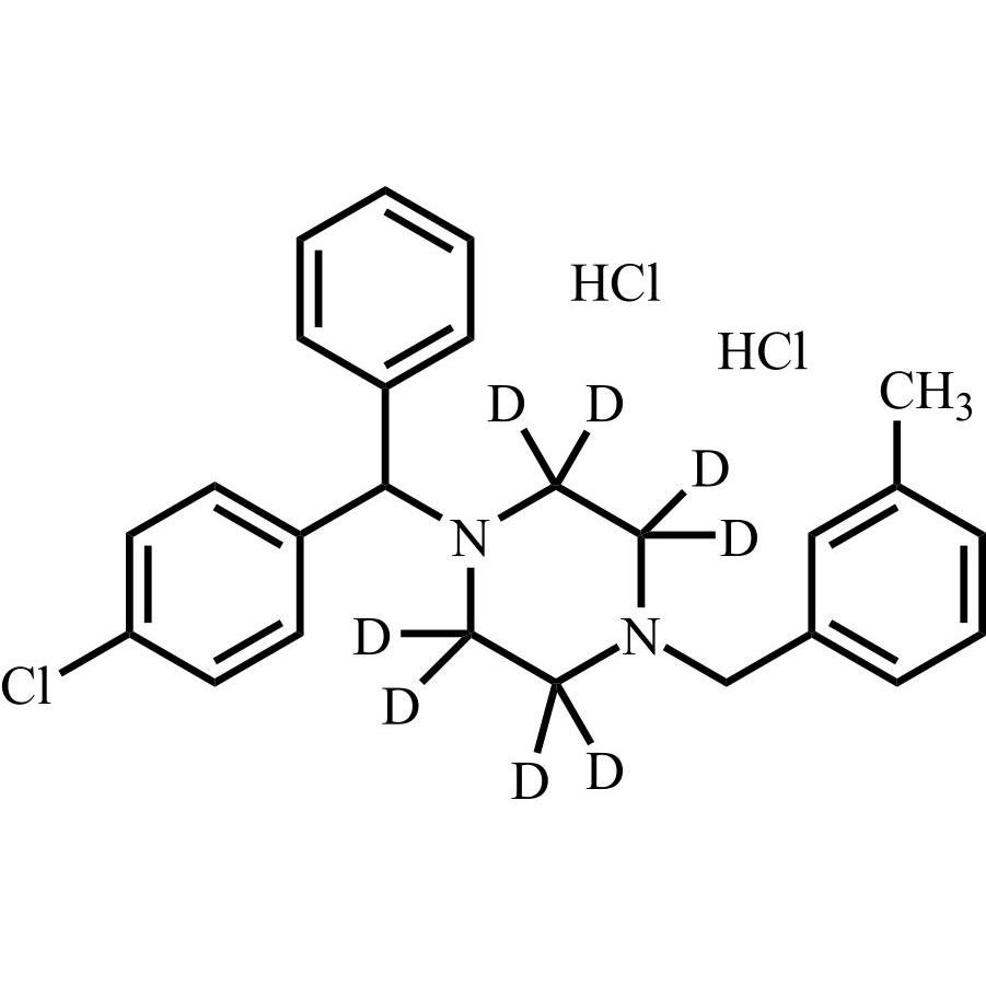
1,4-bis(3-methylbenzyl)piperazinedihydrochloride
M.F.
M.W. 294.44 2 36.46
CAT# AR-M01156
CAS# 5321-65-3