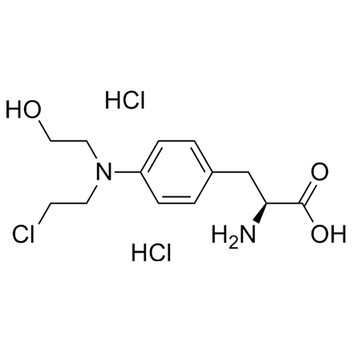
(S)-4-(2-amino-2-carboxyethyl)-N,N-bis(2-chloroethyl)anilineoxide hydrochloride
Melphalan Impurity 16 HCl is a fully characterized chemical compound used as a reference standard of API Melphalan. The standard offered is compliant with regulatory guidelines. Melphalan Impurity 16 HCl is used for analytical method development, method validation (AMV), and Quality Controlled (QC) applications during synthesis and formulation stages of drug development and serves as a reference standard for traceability against pharmacopeial standards (USP or EP). Axios Research products are intended for analytical purposes only and are not for human use. CAS - 685847-78-3 (free base)
Related products
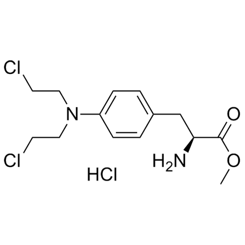
Melphalan Mono-chloroethyl Impurity HCl
M.F.
M.W. 242.71 36.46
CAT# AR-M01319
CAS# 573704-41-3 (free base)
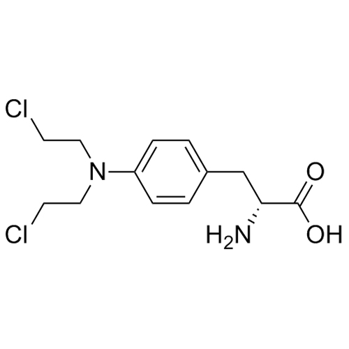
rac-Melphalan EP Impurity A DiHCl
M.F.
M.W. C13H20N2O4. 2 HCl
CAT# AR-M01340
CAS# 18316-80-8 (free base)
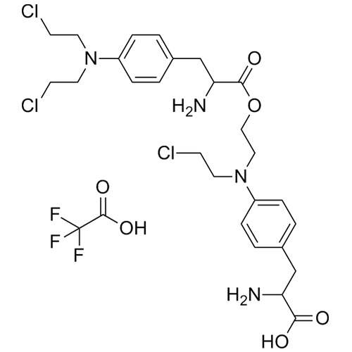
rac-Melphalan EP Impurity G Ditrifluoroacetate (rac-Melphalan Dimer Ditrifluoroacetate) (Mixture of Diastereomers)
M.F.
M.W. 573.94 2*114.02
CAT# AR-M04173
CAS# NA
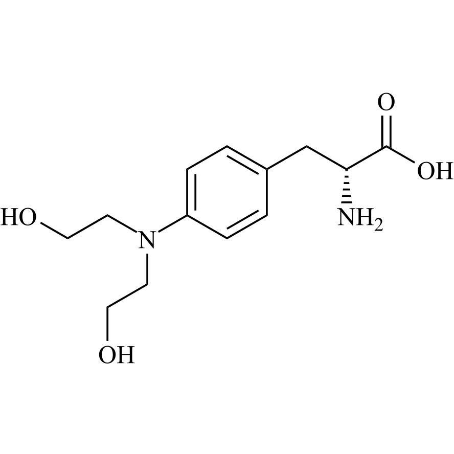
Melphalan EP Impurity A (R-Isomer) DiHCl (Dihydroxy Melphalan (R-Isomer) DiHCl)
M.F.
M.W. 268.31 2*36.46
CAT# AR-M04177
CAS# 297734-03-3
Melphalan EP Impurity A DiHCl (Dihydroxy Melphalan DiHCl)
M.F.
M.W. 268.31 2*36.46
CAT# AR-M04176
CAS# 297734-04-4
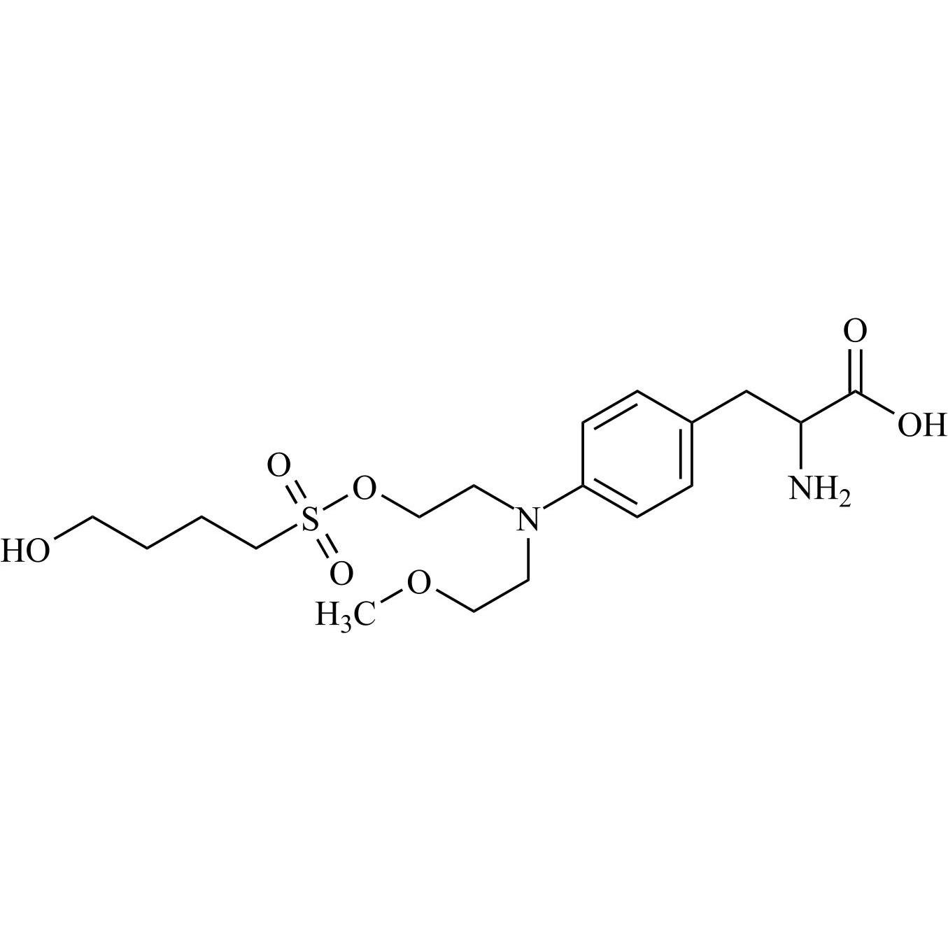
N-Ethylethanamine-13C4 (Diethylamine-13C4)
M.F.
M.W. 73.08
CAT# AR-M01341
CAS# 109-89-7 (non-labelled)