1-(3,4-dimethoxyphenyl)propan-2-one; Methyldopa Impurity Veratone
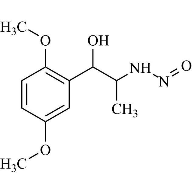
Methoxamine Impurity 3 is a fully characterized chemical compound used as a reference standard of API Methoxamine. The standard offered is compliant with regulatory guidelines. Methoxamine Impurity 3 is used for analytical method development, method validation (AMV), and Quality Controlled (QC) applications during synthesis and formulation stages of drug development and serves as a reference standard for traceability against pharmacopeial standards (USP or EP). Axios Research products are intended for analytical purposes only and are not for human use. CAS - 776-99-8