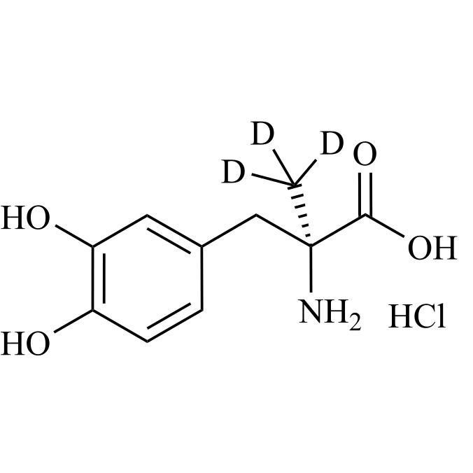
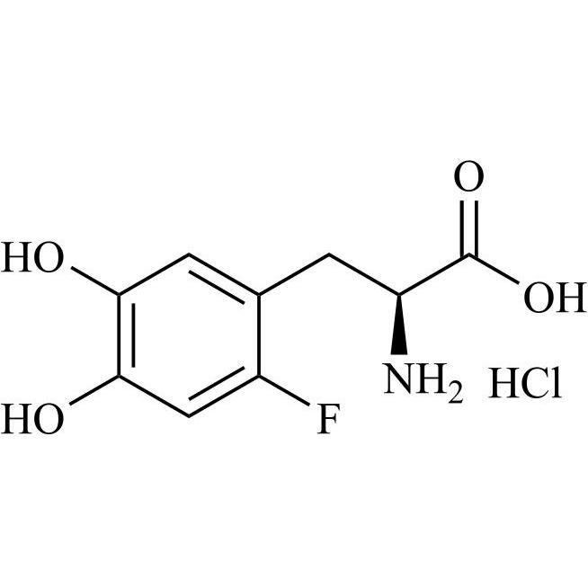
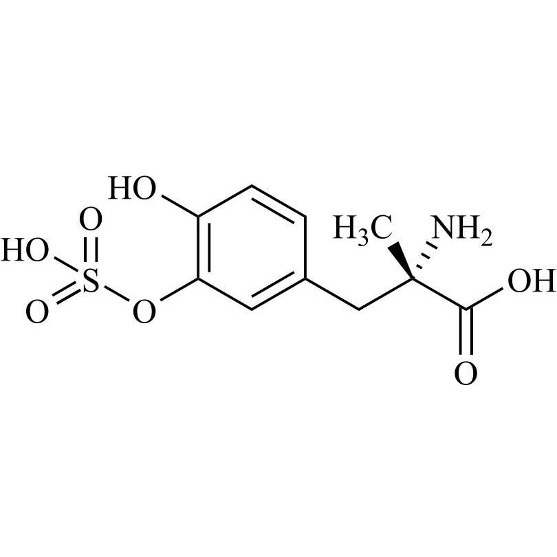
- Synonyms(S)-2-amino-3-(4-methoxyphenyl)-2-methylpropanoic acid hydrochloride;L-3-(p-Methoxyphenyl)-2-methylalanine Hydrochloride; Methyldopa Related Compound B;O,?-Dimethyl-L-tyrosine Hydrochloride
- Description
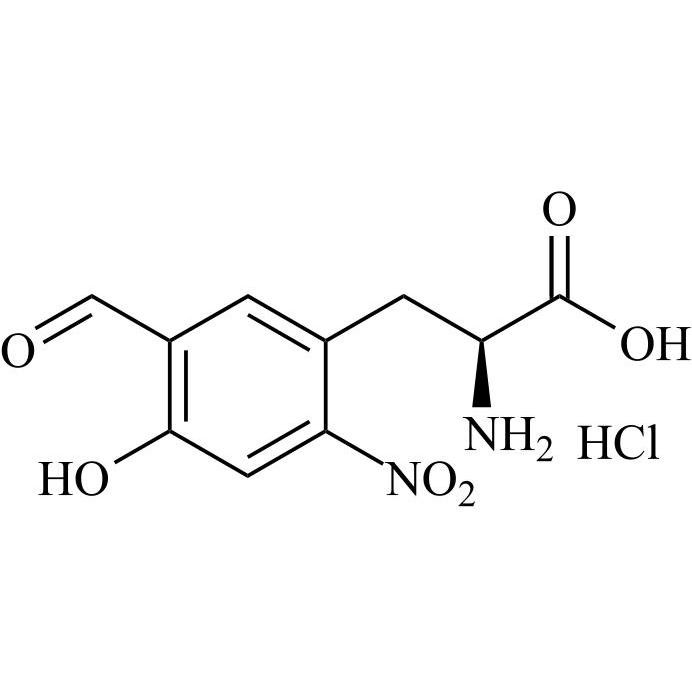
(S)-2-amino-3-(4-methoxyphenyl)-2-methylpropanoic acid hydrochloride;L-3-(p-Methoxyphenyl)-2-methylalanine Hydrochloride; Methyldopa Related Compound B;O,?-Dimethyl-L-tyrosine Hydrochloride
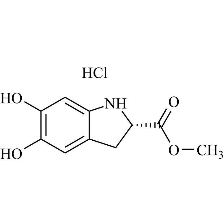
Methyldopa EP Impurity B HCl is a fully characterized chemical compound used as a reference standard of API Dopa. The standard offered is compliant with regulatory guidelines. Methyldopa EP Impurity B HCl is used for analytical method development, method validation (AMV), and Quality Controlled (QC) applications during synthesis and formulation stages of drug development and serves as a reference standard for traceability against pharmacopeial standards (USP or EP). Axios Research products are intended for analytical purposes only and are not for human use. CAS - 35026-10-9
Related products
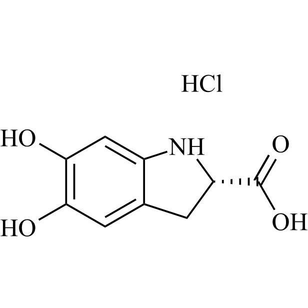
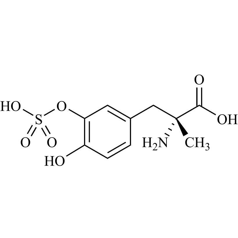
Levodopa EP Impurity D (3,4-Dihydroxy-D-Phenylalanine)
M.F.
M.W. 197.19
CAT# AR-D02195
CAS# 5796-17-8
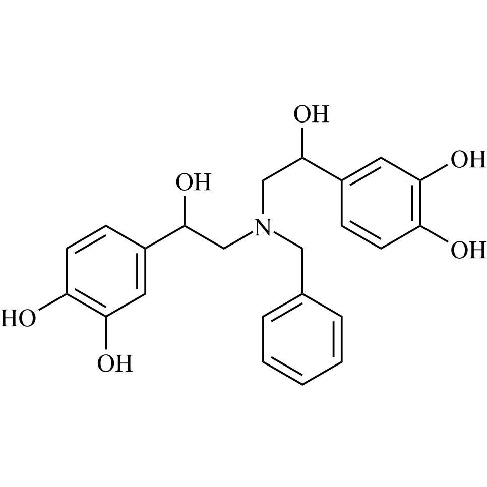
Levodopa EP Impurity C HCl (Levodopa USP Related Compound B HCl, DL-3-O-Methyldopa HCl)
M.F.
M.W. 211.22 36.46
CAT# AR-D07585
CAS# 91013-37-5
Levodopa EP Impurity C Sodium Salt (Levodopa USP Related Compound B Sodium Salt , DL-3-O-Methyldopa Sodium Salt )
M.F.
M.W. 210.21 22.99
CAT# AR-D07587
CAS# NA
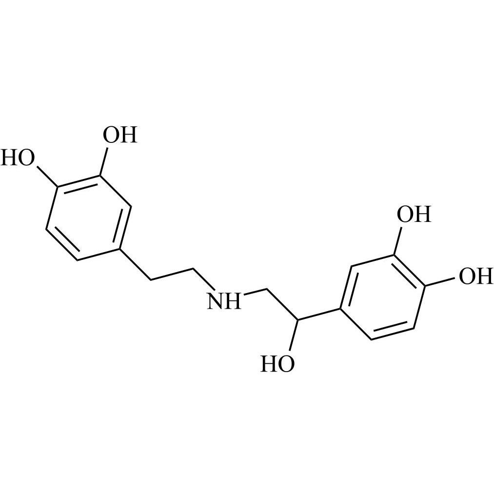
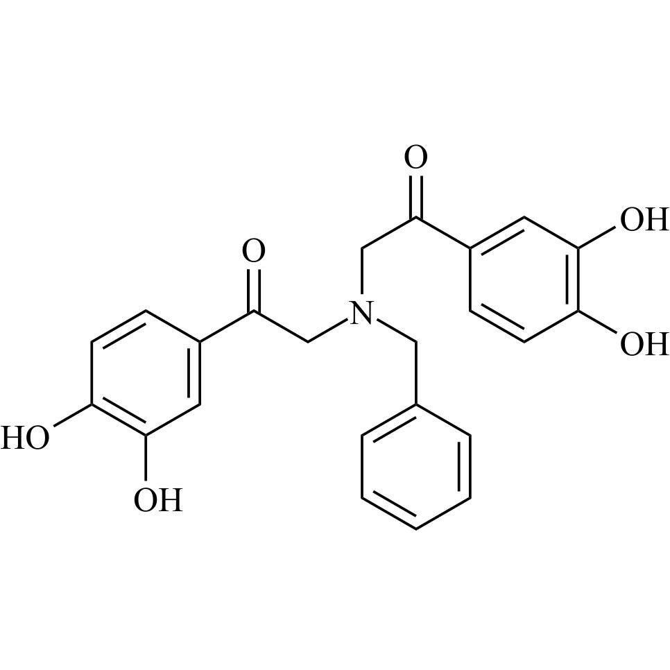
Methyldopa EP Impurity D HCl (Carbidopa Impurity 3 HCl)
M.F.
M.W. 211.22 36.46
CAT# AR-D07580
CAS# 1369423-51-7
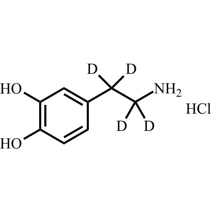
Droxidopa Impurity 7-13C-d3 HCl
M.F.
M.W. 231.23 36.46
CAT# AR-D02265
CAS# 39846-91-8 (non-labelled, free base)