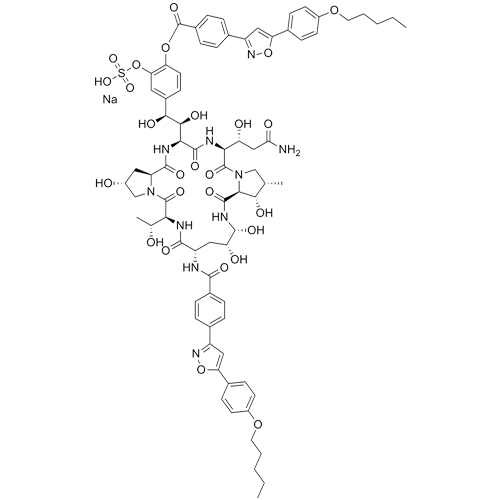
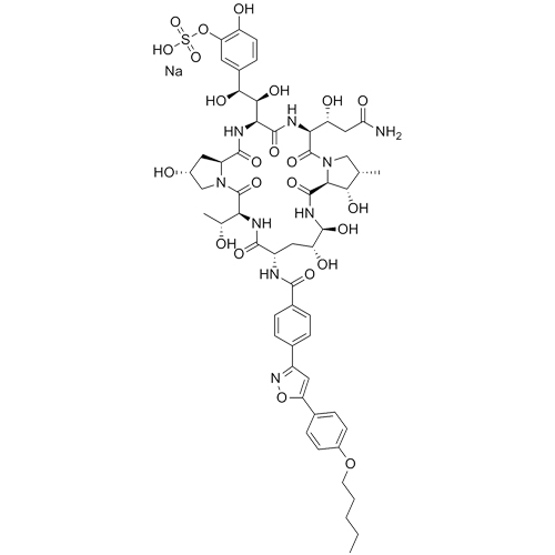
- Synonyms1-[(4R,5R)-4,5-Dihydroxy-N2-[4-[5-[4-(pentyloxy)phenyl]-3-isoxazolyl]benzoyl]-L-ornithine]-4-[(4S)-4-hydroxy-4-[4-hydroxy-3-(sulfooxy)phenyl]-L-threonine]pneumocandin A0-d11;Micafungin-d11
- Description
1-[(4R,5R)-4,5-Dihydroxy-N2-[4-[5-[4-(pentyloxy)phenyl]-3-isoxazolyl]benzoyl]-L-ornithine]-4-[(4S)-4-hydroxy-4-[4-hydroxy-3-(sulfooxy)phenyl]-L-threonine]pneumocandin A0-d11;Micafungin-d11
Micafungin-d11 is a fully characterized chemical compound used as a reference standard of API Micafungin. The standard offered is compliant with regulatory guidelines. Micafungin-d11 is used for analytical method development, method validation (AMV), and Quality Controlled (QC) applications during synthesis and formulation stages of drug development and serves as a reference standard for traceability against pharmacopeial standards (USP or EP). Axios Research products are intended for analytical purposes only and are not for human use. CAS - NA
Related products
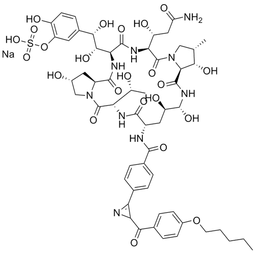
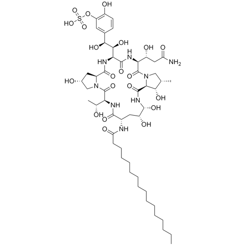
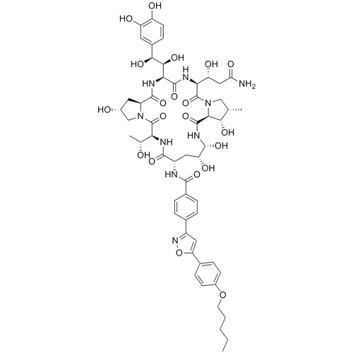
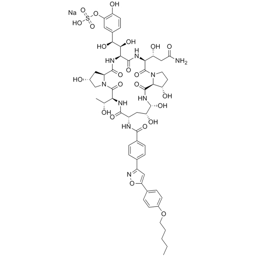
O-Desulfo Micafungin (Pneumocandin A0) ≥90% Purity
M.F.
M.W. 1190.23
CAT# AR-M01771
CAS# 539823-80-8