- Synonyms(2S,3S,4S,5R,6S)-6-(2-(1-((((R)-1-(3-((E)-2-(7-chloroquinolin-2-yl)vinyl)phenyl)-3-(2-(2-hydroxypropan-2-yl)phenyl)propyl)thio)methyl)cyclopropyl)acetoxy)-3,4,5-trihydroxytetrahydro-2H-pyran-2-carboxylicacid
- Description
(2S,3S,4S,5R,6S)-6-(2-(1-((((R)-1-(3-((E)-2-(7-chloroquinolin-2-yl)vinyl)phenyl)-3-(2-(2-hydroxypropan-2-yl)phenyl)propyl)thio)methyl)cyclopropyl)acetoxy)-3,4,5-trihydroxytetrahydro-2H-pyran-2-carboxylicacid
Montelukast-Acyl-Glucuronide is a fully characterized chemical compound used as a reference standard of API Montelukast. The standard offered is compliant with regulatory guidelines. Montelukast-Acyl-Glucuronide is used for analytical method development, method validation (AMV), and Quality Controlled (QC) applications during synthesis and formulation stages of drug development and serves as a reference standard for traceability against pharmacopeial standards (USP or EP). Axios Research products are intended for analytical purposes only and are not for human use. CAS - N/A
Related products
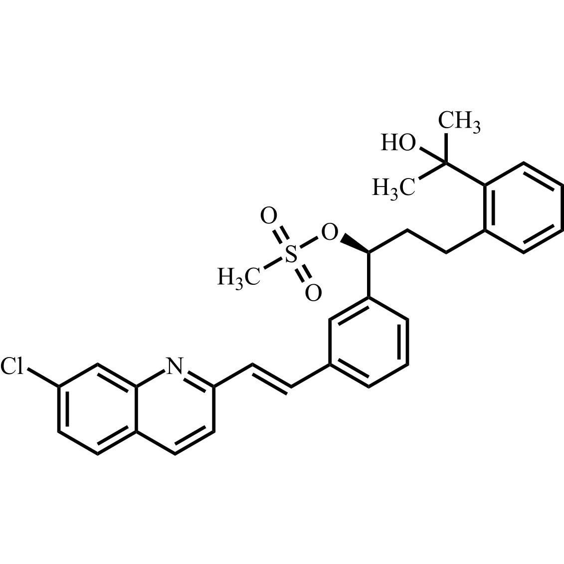
Montelukast methyl methanesulfonate fragment Impurity
M.F.
M.W. 189.2
CAT# AR-M03441
CAS# 152922-86-6
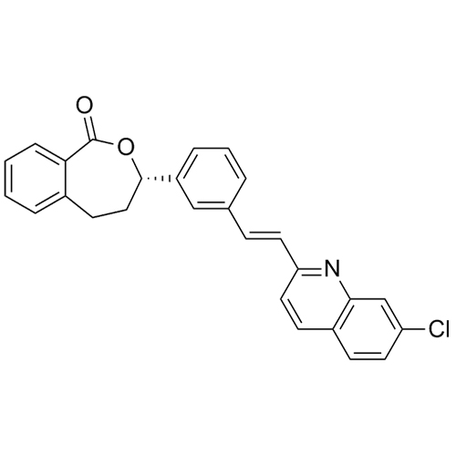
Montelukast (3S)-Hydroxy Benzoate with TBC as stabilizer
M.F.
M.W. 457.96
CAT# AR-M02247
CAS# 142569-69-5
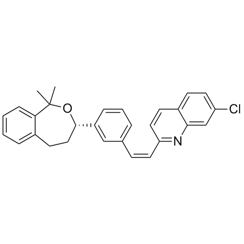
Montelukast R,S-Isomer (Montelukast EP Impurity E)
M.F.
M.W. 732.39
CAT# AR-M02230
CAS# 1187586-58-8
Montelukast EP Impurity D and Montelukast EP Impurity E (Mixture of Diastereomers)
M.F.
M.W. 732.39
CAT# AR-M05077
CAS# 1242260-05-4
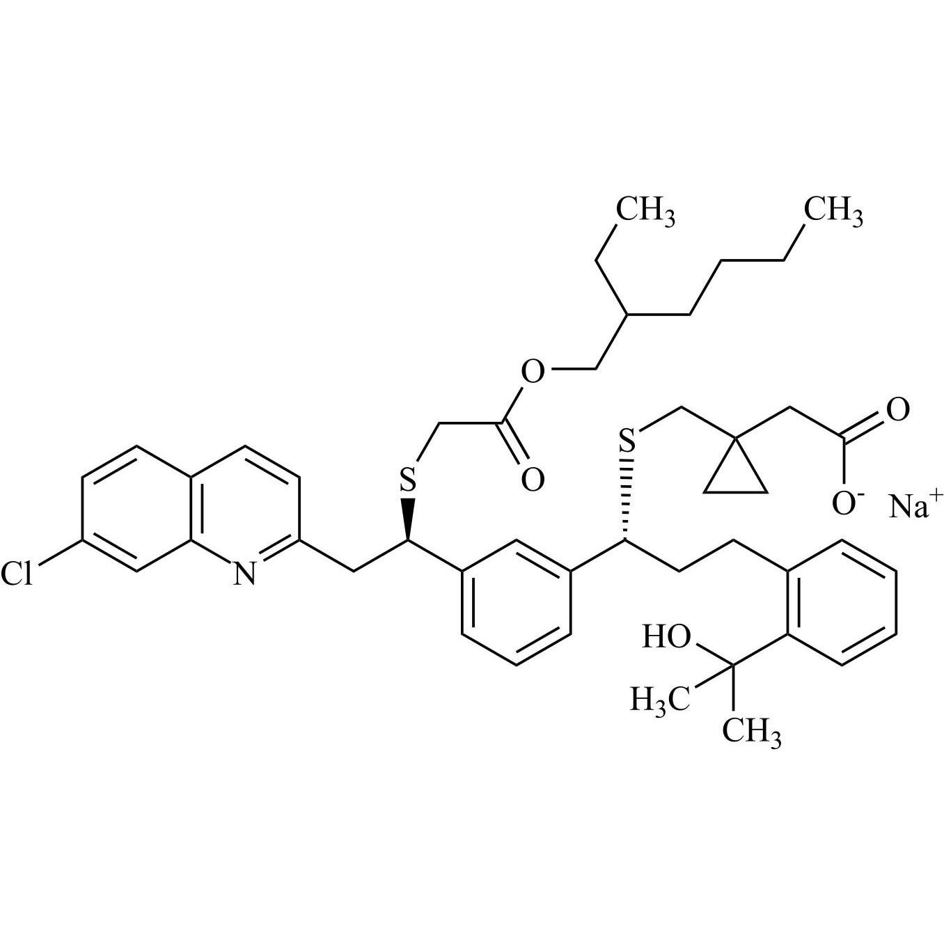
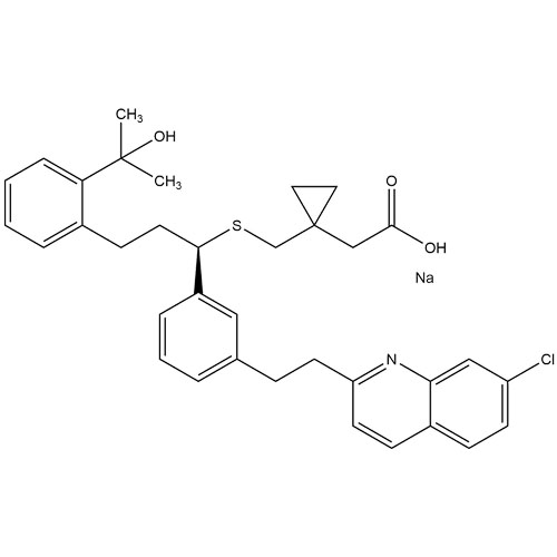
Montelukast EP Impurity I Sodium Salt (Mixture of Diastereomers)
M.F.
M.W. 601.18 22.99
CAT# AR-M05073
CAS# NA
rac-Montelukast EP Impurity F (rac-Montelukast Methyl Ketone)
M.F.
M.W. 570.14
CAT# AR-M05076
CAS# NA
Montelukast Impurity 36 and Montelukast Impurity 37 (Mixture of Diastereomers)
M.F.
M.W. 790.52
CAT# AR-M05078
CAS# NA