2-((3-sulfopropyl)amino)acetic acid
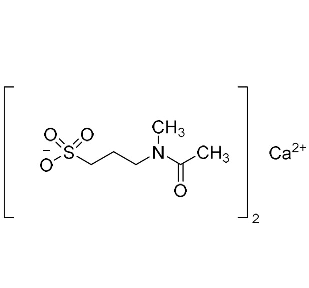
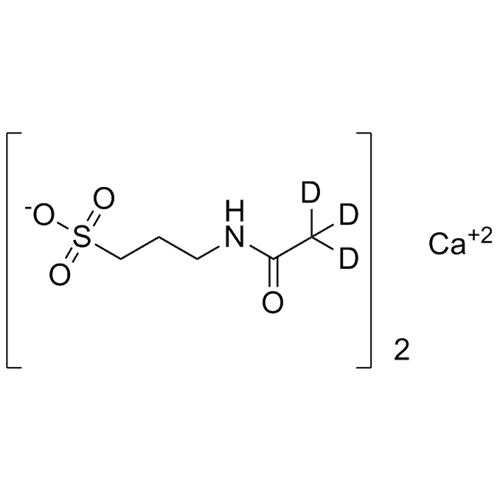
N-Acetylhomotaurine is a fully characterized chemical compound used as a reference standard of API Acamprosate. The standard offered is compliant with regulatory guidelines. N-Acetylhomotaurine is used for analytical method development, method validation (AMV), and Quality Controlled (QC) applications during synthesis and formulation stages of drug development and serves as a reference standard for traceability against pharmacopeial standards (USP or EP). Axios Research products are intended for analytical purposes only and are not for human use. CAS -