- Synonymsβ-D-Fructopyranose, 1-deoxy-4-O-β-D-galactopyranosyl-1-[(4S)-4-(2-methylpropyl)-2-oxo-1-pyrrolidinyl]- (9CI, ACI) and β-D-Fructofuranose, 1-deoxy-4-O-β-D-galactopyranosyl-1-[(4S)-4-(2-methylpropyl)-2-oxo-1-pyrrolidinyl]- (9CI, ACI)
- Description
β-D-Fructopyranose, 1-deoxy-4-O-β-D-galactopyranosyl-1-[(4S)-4-(2-methylpropyl)-2-oxo-1-pyrrolidinyl]- (9CI, ACI) and β-D-Fructofuranose, 1-deoxy-4-O-β-D-galactopyranosyl-1-[(4S)-4-(2-methylpropyl)-2-oxo-1-pyrrolidinyl]- (9CI, ACI)
Pregabalin Mixture S Isomers is a fully characterized chemical compound used as a reference standard of API Pregabalin. The standard offered is compliant with regulatory guidelines. Pregabalin Mixture S Isomers is used for analytical method development, method validation (AMV), and Quality Controlled (QC) applications during synthesis and formulation stages of drug development and serves as a reference standard for traceability against pharmacopeial standards (USP or EP). Axios Research products are intended for analytical purposes only and are not for human use. CAS - NA
Related products
tert-butyl 3-(aminomethyl)-5-methylhexanoate

M.F.
M.W. 215.34 150.09
CAT# AR-P02772
CAS# 1484267-23-3 (free base)
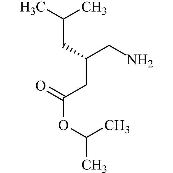
isopropyl 3-(aminomethyl)-5-methylhexanoate hydrochloride

M.F.
M.W. 201.31 36.46
CAT# AR-P02791
CAS# 1464089-92-6 (free base)
(S,E)-5-Methyl-3-(((2-oxoethylidene)amino)methyl)hexanoic Acid

M.F.
M.W. 199.2
CAT# AR-P29788
CAS# NA
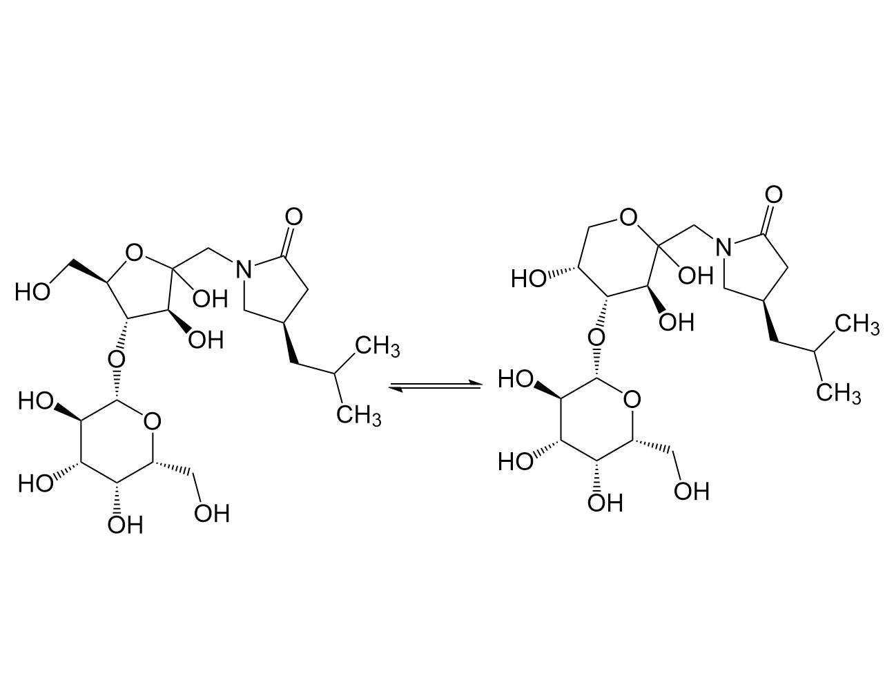
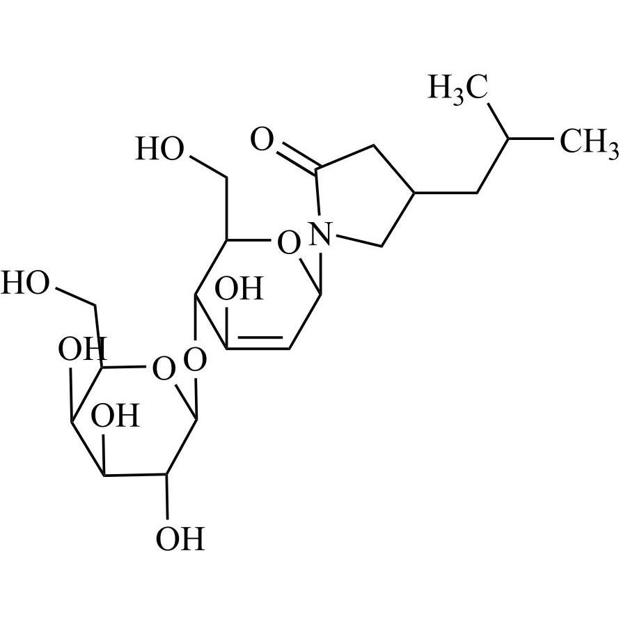
Pregabalin Impurity PD 0312236 and Pregabalin Impurity PD 0312237 (Mixture of Tautomeric Isomers)

M.F.
M.W. 465.50
CAT# AR-P29864
CAS# NA
(3S)-3-(2-Methylpropyl)-pentanedioic Acid 1-Methyl Ester

M.F.
M.W. 202.25
CAT# AR-P29657
CAS# 181289-25-8
Pregabalin Impurity (4-(2- Methylpropyl)piperidine-2,6-dione)

M.F.
M.W. 169.22
CAT# AR-P02762
CAS# 916982-10-0
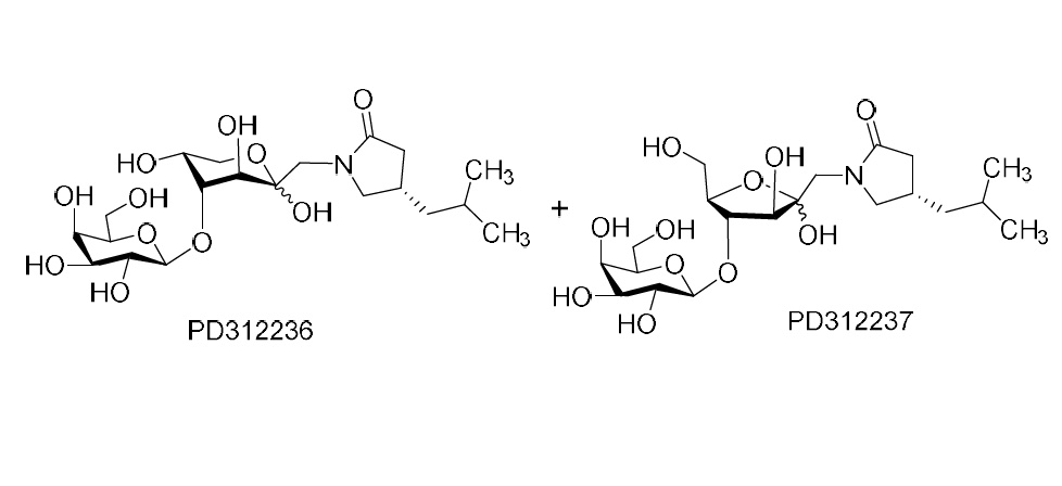
Pregabalin Impurity - Mixture of PD 312236 and PD 312237

M.F.
M.W. 465.50;465.50
CAT# AR-P29603
CAS# NA
(3S)-3-(Aminomethyl)-N,N-diethyl-5-methylhexanamide D-Tartrate

M.F.
M.W. 214.35; 150.09
CAT# AR-P02775
CAS# 1094517-98-2
(R)-Pregabalin EP Impurity A ((R)-Pregabalin USP Related Compound C, (R)-Pregabalin Lactam Impurity)

M.F.
M.W. 141.21
CAT# AR-P32535
CAS# 181289-22-5