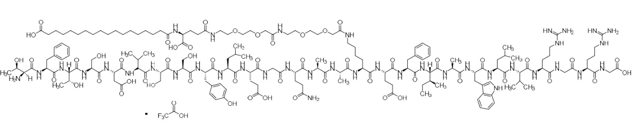
- SynonymsSemaglutide impurity D-Ser8 TFA Salt; L-histidyl-2-methylalanyl-L-α-glutamylglycyl-L-threonyl-L-phenylalanyl-L-threonyl-D-seryl-L-α-aspartyl-L-valyl-L-seryl-L-seryl-L-tyrosyl-L-leucyl-L-α-glutamylglycyl-L-glutaminyl-L-alanyl-L-alanyl-N6-((N-(17-carboxyheptadecanoyl)-L-γ-glutamyl)amino-10-oxo-3,6,...
- Description
Semaglutide impurity D-Ser8 TFA Salt; L-histidyl-2-methylalanyl-L-α-glutamylglycyl-L-threonyl-L-phenylalanyl-L-threonyl-D-seryl-L-α-aspartyl-L-valyl-L-seryl-L-seryl-L-tyrosyl-L-leucyl-L-α-glutamylglycyl-L-glutaminyl-L-alanyl-L-alanyl-N6-((N-(17-carboxyheptadecanoyl)-L-γ-glutamyl)amino-10-oxo-3,6,12,15-tetraoxa-9-azaheptadecanan-1-oyl)-L-lysyl-L-α-glutamyl-L-phenylalanyl-L-isoleucyl-L-alanyl-L-tryptophyl-L-leucyl-L-valyl-L-arginylglycyl-L-arginylglycine; D-Ser(14)-Semaglutide
Semaglutide impurity D-Ser8 TFA Salt is a fully characterized chemical compound used as a reference standard of API Semaglutide. The standard offered is compliant with regulatory guidelines. Semaglutide impurity D-Ser8 TFA Salt is used for analytical method development, method validation (AMV), and Quality Controlled (QC) applications during synthesis and formulation stages of drug development and serves as a reference standard for traceability against pharmacopeial standards (USP or EP). Axios Research products are intended for analytical purposes only and are not for human use. CAS - NA
Related products
Semaglutide impurity α-Glu (Side chain transposition) TFA Salt
M.F.
M.W. 4113.64; 114.02
CAT# AR-S09598
CAS# NA
Semaglutide impurity Acetaldehyde Schiff-base TFA salt
M.F.
M.W. 4139.68; (114.02)
CAT# AR-S09496
CAS# NA
Semaglutide impurity Des-[Oct-gama-Glu-AEEA-AEEA] TFA Salt
M.F.
M.W. 3397.76;*(114.02)
CAT# AR-S09549
CAS# NA
Semaglutide impurity N-formylkynurenine Sodium Salt (oxo-His)
M.F.
M.W. 4161.64;x(22.99)
CAT# AR-S09515
CAS# NA
Semaglutide Impurity 1 Tetratrifluoroacetate ((Trp25-Hydroxybenzyl)-Semaglutide Tetratrifluoroacetate)
M.F.
M.W. 4219.77 4*114.02
CAT# AR-S10106
CAS# NA