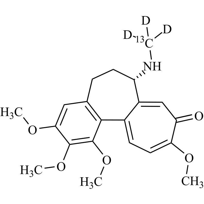
- SynonymsN-[(7S)-5,6,7,9-Tetrahydro-1,2,3-trimethoxy-10-(methylthio)-9-oxobenzo[a]heptalen-7-yl]acetamide-d3; 10-Thio-colchicine-d3; 10-Demethoxy-10-(methylthio)colchicine-d3; NSC 186301-d3;
- Description
N-[(7S)-5,6,7,9-Tetrahydro-1,2,3-trimethoxy-10-(methylthio)-9-oxobenzo[a]heptalen-7-yl]acetamide-d3; 10-Thio-colchicine-d3; 10-Demethoxy-10-(methylthio)colchicine-d3; NSC 186301-d3;
Thiocolchicine-d3 is a fully characterized chemical compound used as a reference standard of API Colchicine. The standard offered is compliant with regulatory guidelines. Thiocolchicine-d3 is used for analytical method development, method validation (AMV), and Quality Controlled (QC) applications during synthesis and formulation stages of drug development and serves as a reference standard for traceability against pharmacopeial standards (USP or EP). Axios Research products are intended for analytical purposes only and are not for human use. CAS -
Related products
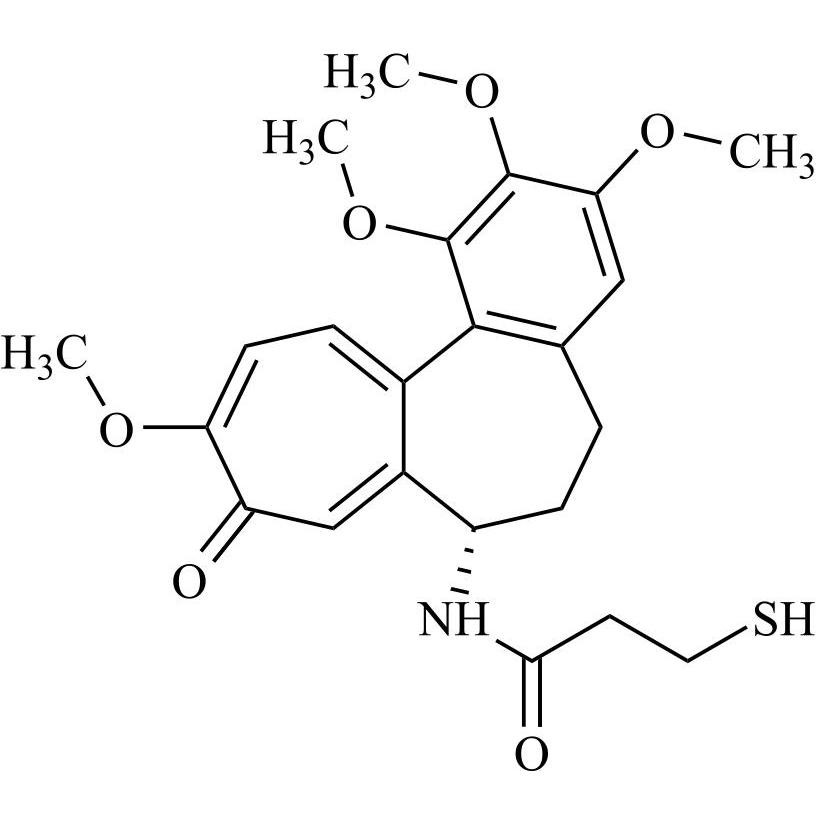
Colchicine Impurity D (Thiocolchicoside EP Impurity D)
M.F.
M.W. 547.55
CAT# AR-C07346
CAS# 477-29-2