Remdesivir Related Products
Axios Research stands at the forefront of pharmaceutical reference standards ingenuity, providing high quality Remdesivir Reference Standards. These include both pharmacopeial and non-pharmacopeial Remdesivir impurities, metabolites, stable isotope products, and nitrosamines. Our Remdesivir impurity reference standards are essential for pharmaceutical research, aiding in product development, ANDA and DMF submissions, quality control (QC), method validation, and stability studies. They are also used in identifying unknown impurities and evaluating genotoxic potential. Our Remdesivir related products are meticulously characterized and come with a comprehensive Certificates of Analysis (COA) and analytical data that comply with regulatory standards.
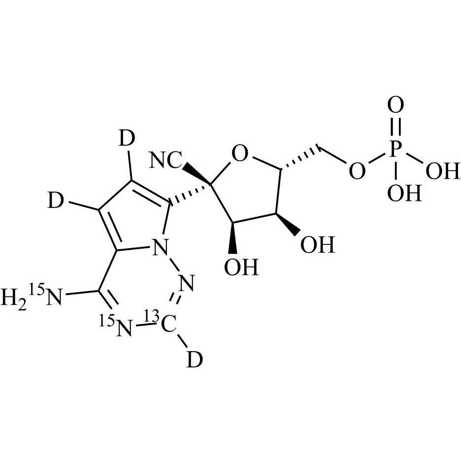
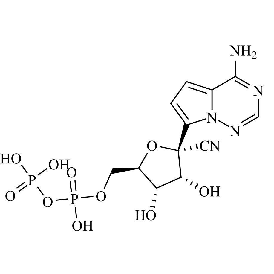
Remdesivir Related Compound 6-13C-d3-15N2 (GS-441524-13C-d3-15N2)
M.F.
M.W. 297.26
CAT# AR-R10632
CAS# NA
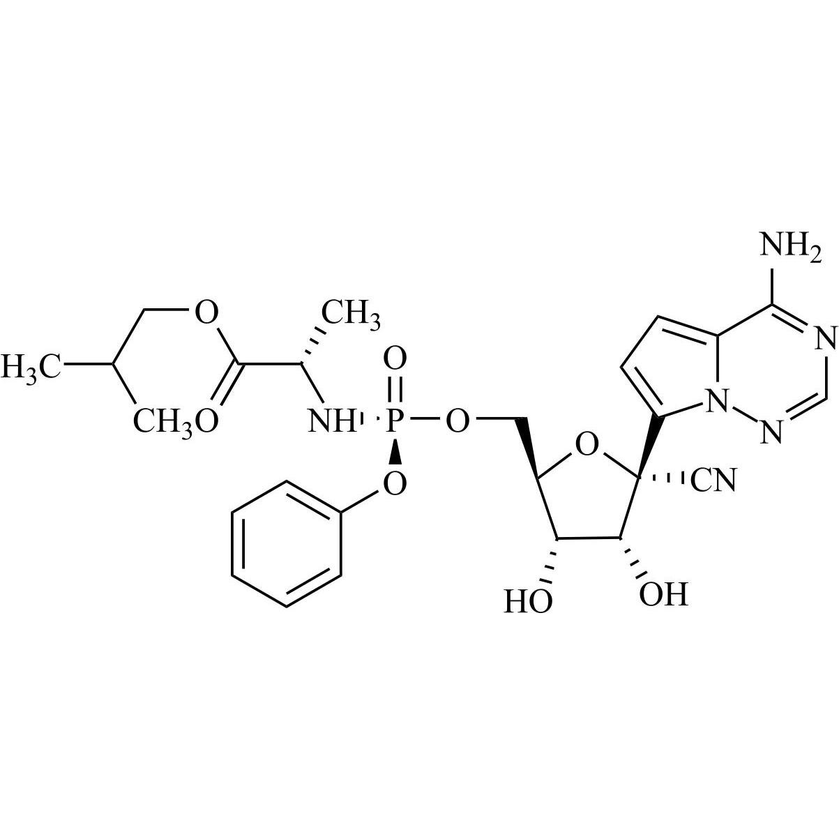
Remdesivir Impurity 15-13C-d3-15N2 (Mixture of Diastereomers)
M.F.
M.W. 448.32
CAT# AR-R10635
CAS# NA
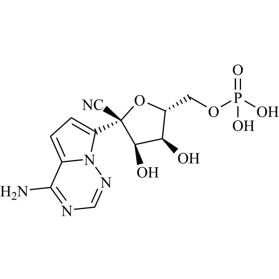
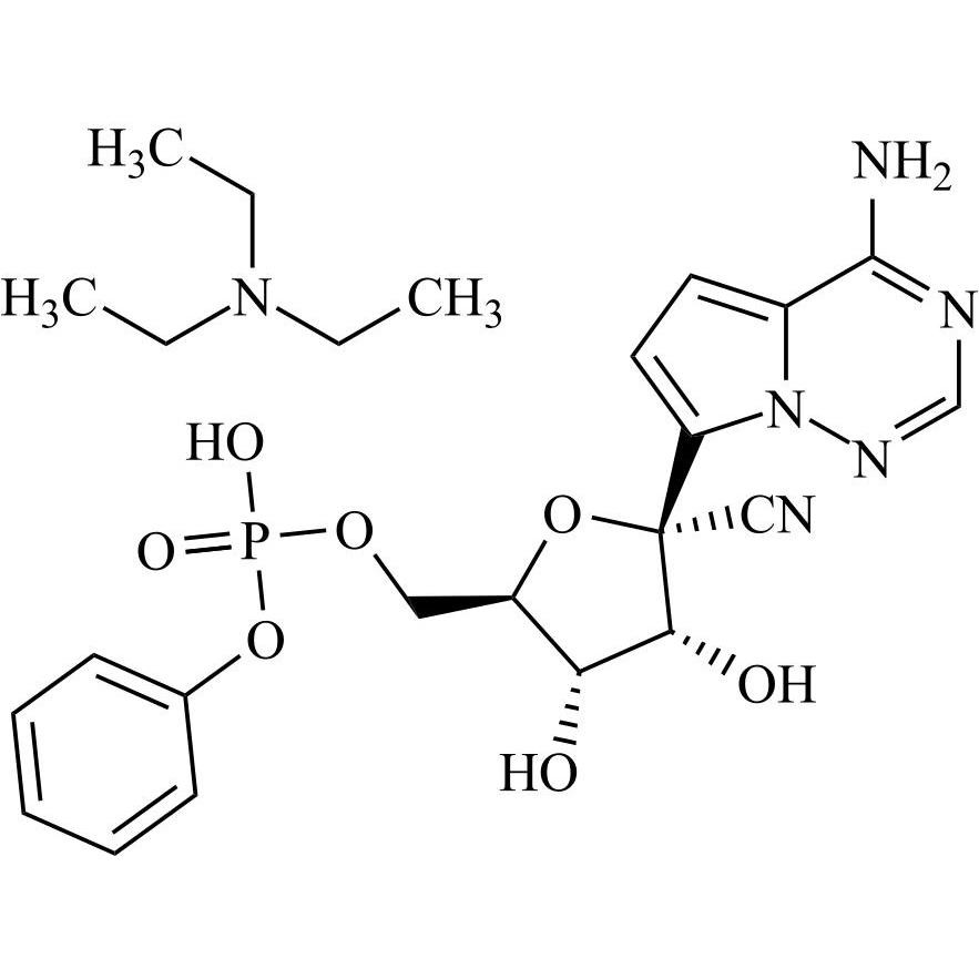
Remdesivir Impurity 16-13C-d3-15N2 (Mixture of Diastereomers)
M.F.
M.W. 608.58
CAT# AR-R10636
CAS# NA