Rotigotine Related Products
Axios Research stands at the forefront of pharmaceutical reference standards ingenuity, providing high quality Rotigotine Reference Standards. These include both pharmacopeial and non-pharmacopeial Rotigotine impurities, metabolites, stable isotope products, and nitrosamines. Our Rotigotine impurity reference standards are essential for pharmaceutical research, aiding in product development, ANDA and DMF submissions, quality control (QC), method validation, and stability studies. They are also used in identifying unknown impurities and evaluating genotoxic potential. Our Rotigotine related products are meticulously characterized and come with a comprehensive Certificates of Analysis (COA) and analytical data that comply with regulatory standards.
Rotigotine EP Impurity K (Rotigotine USP Related Compound K)
M.F.
M.W. 146.19
CAT# AR-R11582
CAS# 51927-48-1
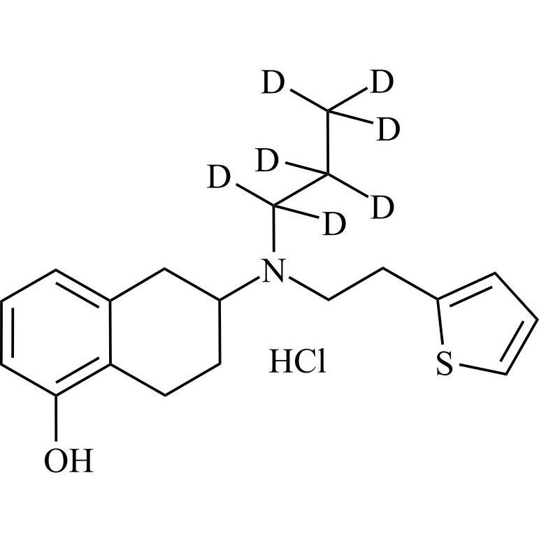
rac-Rotigotine Sulfate Sodium Salt
M.F.
M.W. 394.52 22.99
CAT# AR-R11576
CAS# 131889-46-8 (free acid)
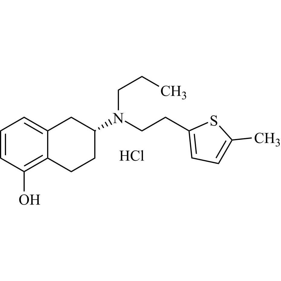
Rotigotine EP Impurity G (Rotigotine USP Related Compound G (Free Form))
M.F.
M.W. 383.57
CAT# AR-R11551
CAS# 1422357-33-2
Rotigotine EP Impurity H (Rotigotine USP Related Compound H, Methoxy Rotigotine)
M.F.
M.W. 329.50
CAT# AR-R11552
CAS# 1148154-91-9
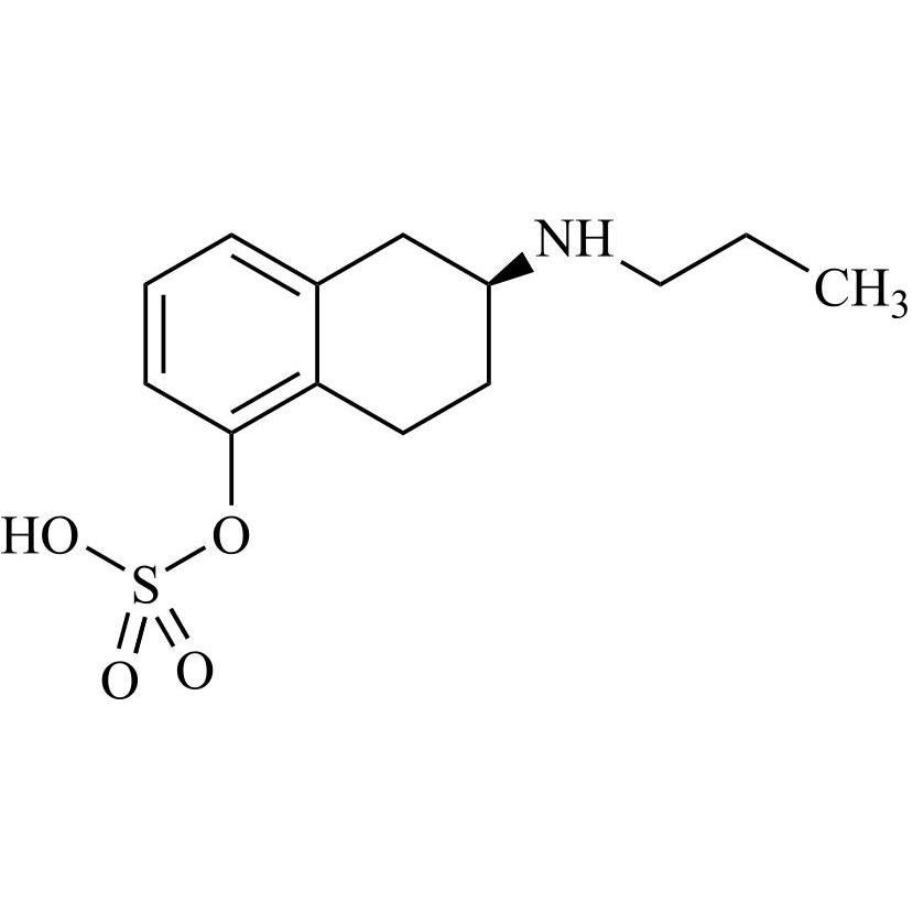
Rotigotine EP Impurity C HCl (Rotigotine USP Related Compound C, Depropyl Rotigotine HCl)
M.F.
M.W. 273.40 36.46
CAT# AR-R11581
CAS# NA
N-Nitroso Rotigotine EP Impurity C (N-Nitroso Rotigotine USP Related Compound C (Free Form), N-Nitroso Depropyl Rotigotine)
M.F.
M.W. 302.39
CAT# AR-R11560
CAS# NA