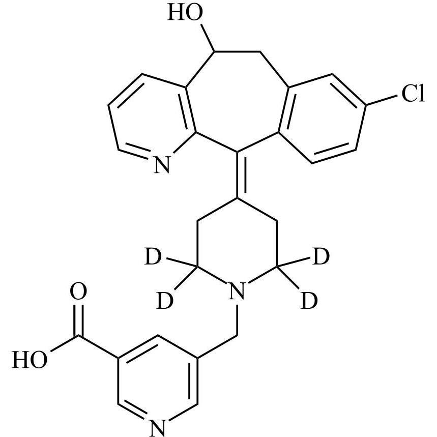
- Synonyms3-((4-(8-chloro-5,6-dihydro-11H-benzo[5,6]cyclohepta[1,2-b]pyridin-11-ylidene)piperidin-1-yl)methyl)-5-methyl-1-((5-methylpyridin-3-yl)methyl)pyridin-1-ium, chloride, hydrochloride (1:1:3)
- Description
3-((4-(8-chloro-5,6-dihydro-11H-benzo[5,6]cyclohepta[1,2-b]pyridin-11-ylidene)piperidin-1-yl)methyl)-5-methyl-1-((5-methylpyridin-3-yl)methyl)pyridin-1-ium, chloride, hydrochloride (1:1:3)
Rupatadine Impurity 2 Chloride TriHCl is a fully characterized chemical compound used as a reference standard of API Rupatadine. The standard offered is compliant with regulatory guidelines. Rupatadine Impurity 2 Chloride TriHCl is used for analytical method development, method validation (AMV), and Quality Controlled (QC) applications during synthesis and formulation stages of drug development and serves as a reference standard for traceability against pharmacopeial standards (USP or EP). Axios Research products are intended for analytical purposes only and are not for human use. CAS - NA
Related products
Rupatadine Impurity 20 Chloride HCl Salt
M.F.
M.W. 247.75 35.45 36.46
CAT# AR-R11708
CAS# 2242584-13-8