Sapropterin Related Products
Axios Research stands at the forefront of pharmaceutical reference standards ingenuity, providing high quality Sapropterin Reference Standards. These include both pharmacopeial and non-pharmacopeial Sapropterin impurities, metabolites, stable isotope products, and nitrosamines. Our Sapropterin impurity reference standards are essential for pharmaceutical research, aiding in product development, ANDA and DMF submissions, quality control (QC), method validation, and stability studies. They are also used in identifying unknown impurities and evaluating genotoxic potential. Our Sapropterin related products are meticulously characterized and come with a comprehensive Certificates of Analysis (COA) and analytical data that comply with regulatory standards.
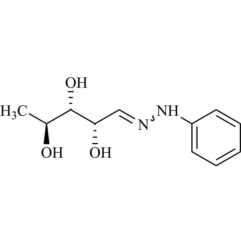
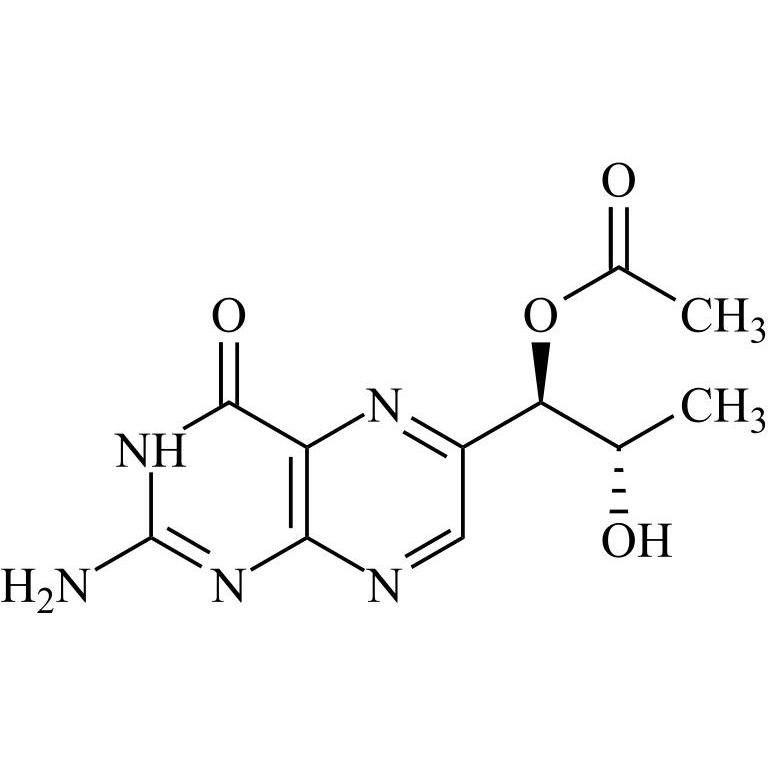
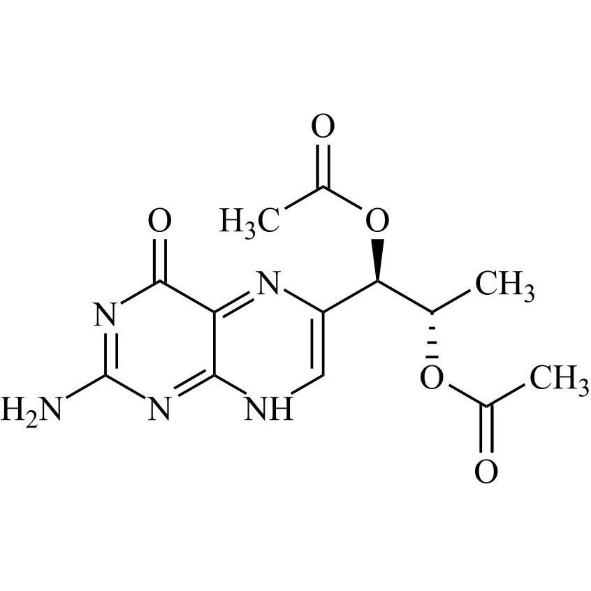
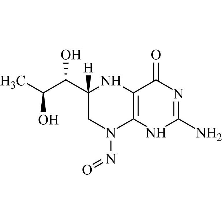
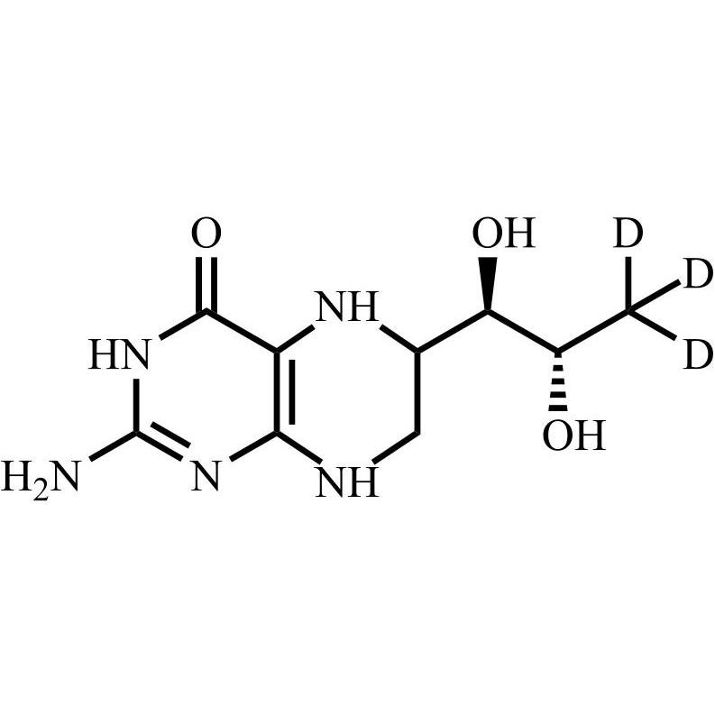
Sapropterin DiHCl (Dehydro Sepiapterin DiHCl)
M.F.
M.W. 241.25 2 36.46
CAT# AR-P03209
CAS# 69056-38-8
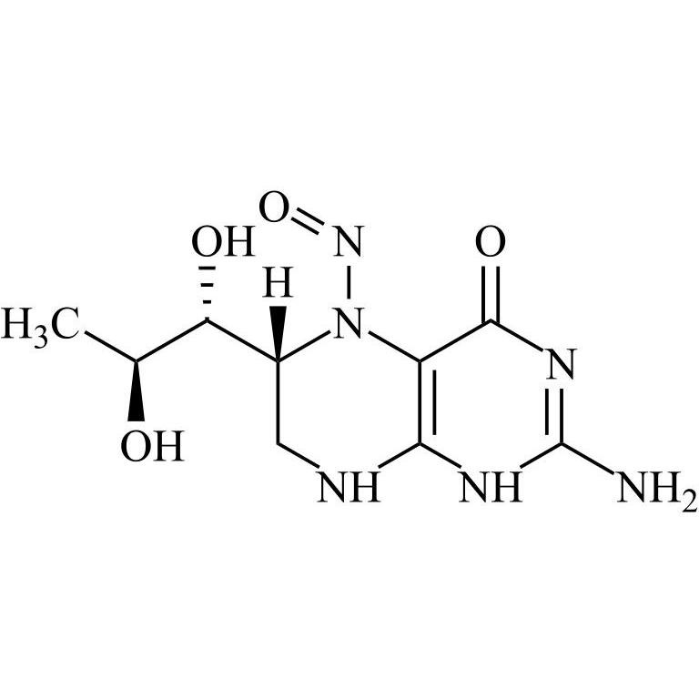
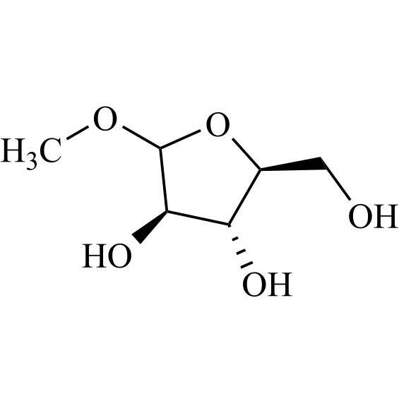
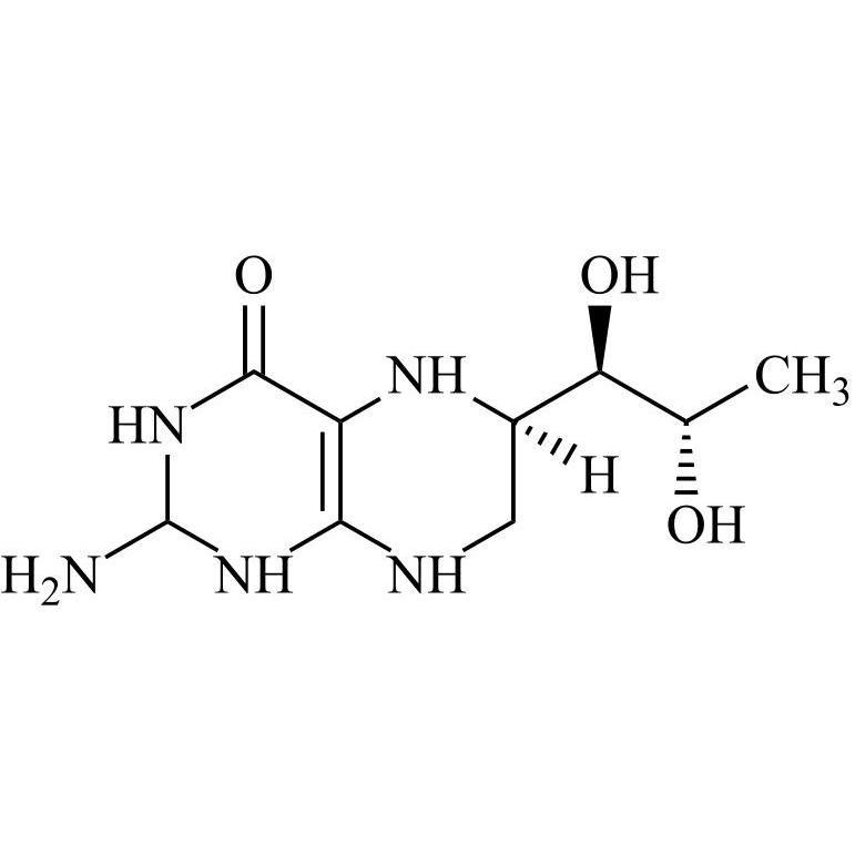
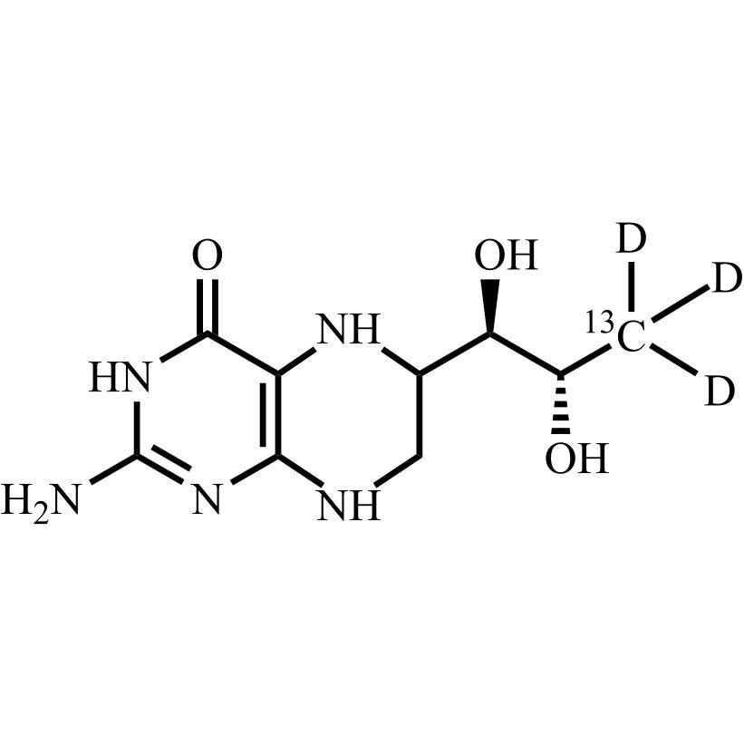
Sapropterin Related Compound ((6S)-5,6,7,8-Tetrahydro-L-Biopterin Sulfate)
M.F.
M.W. 241.25 98.08
CAT# AR-P03217
CAS# 109784-74-9
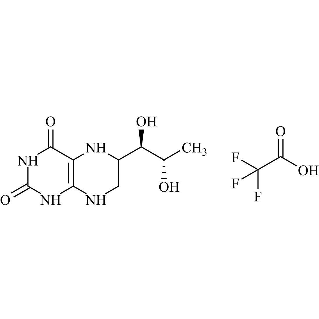
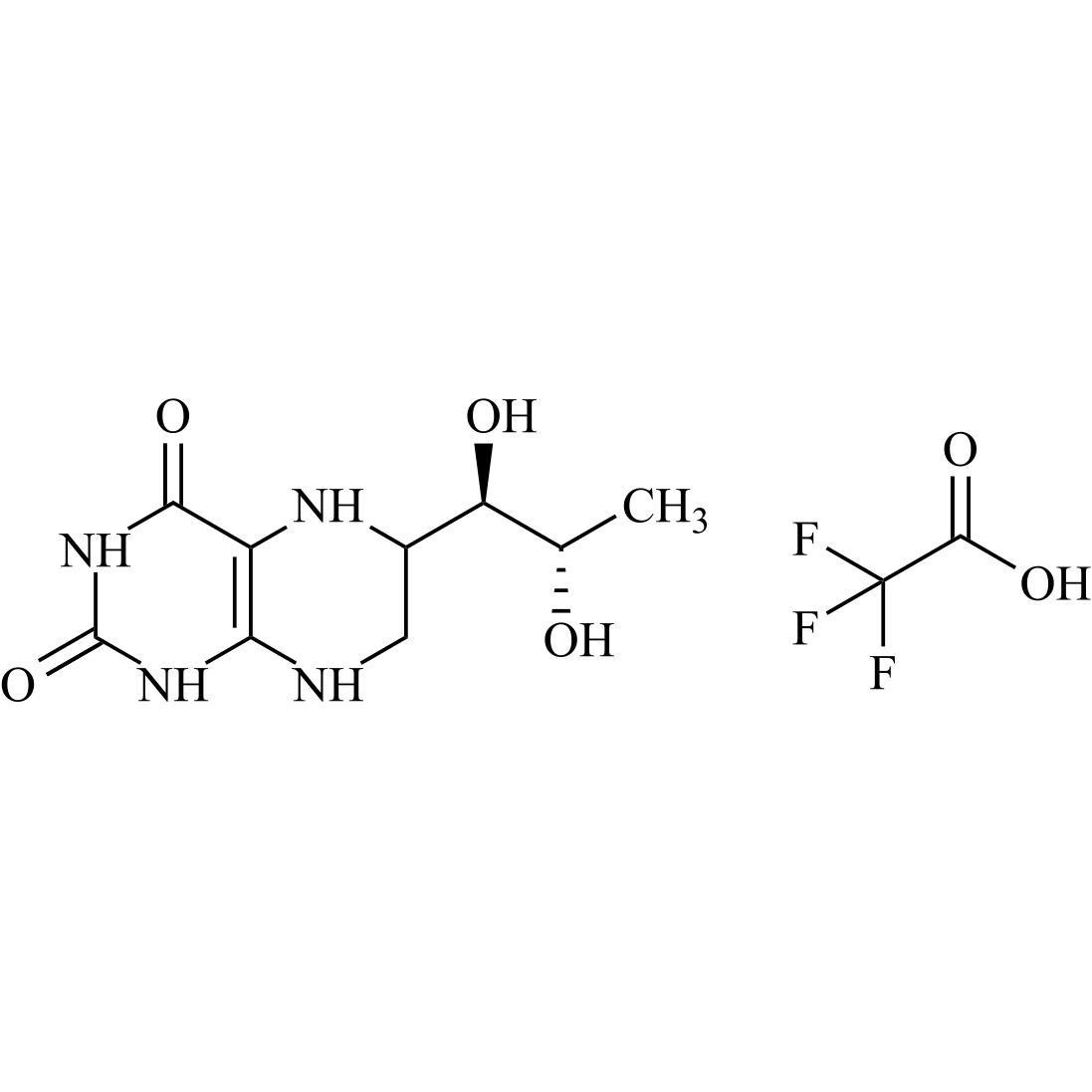
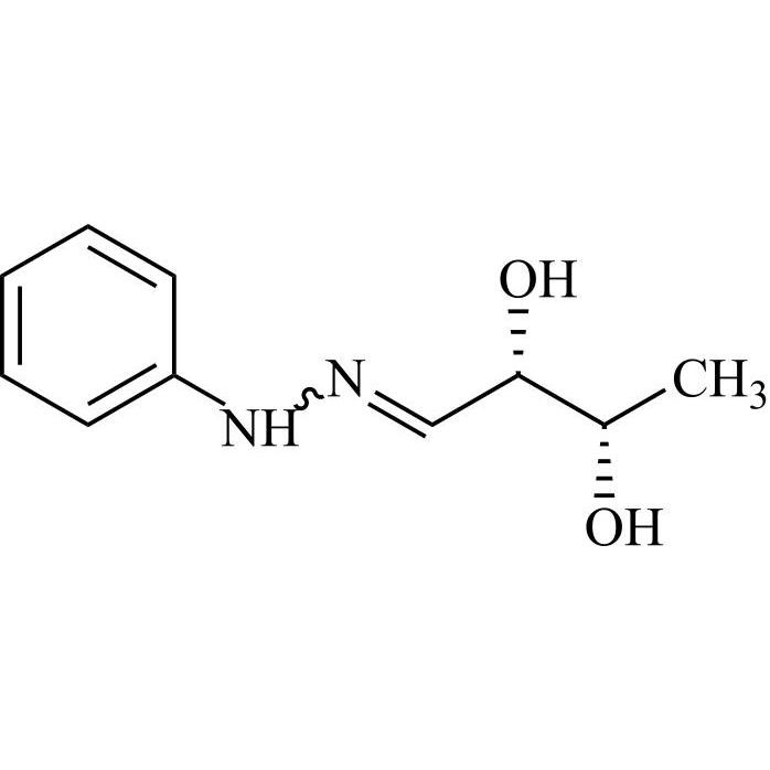
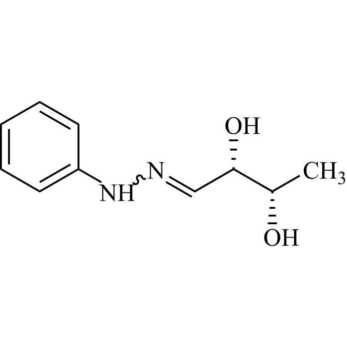
Sapropterin Impurity 1 Trifluoroacetate (Mixture of Isomers)
M.F.
M.W. 242.24 114.02
CAT# AR-S09945
CAS# NA