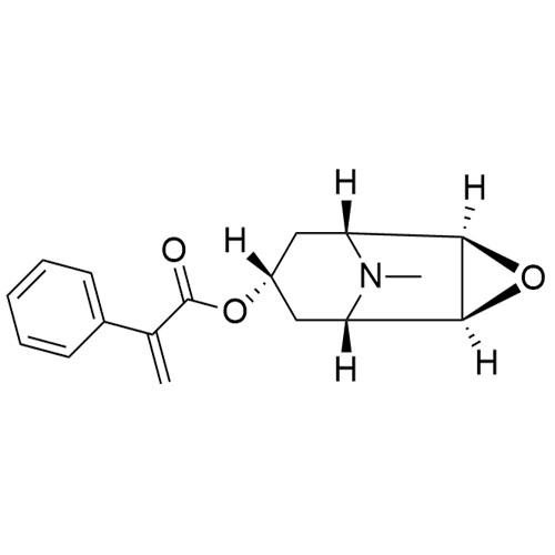
Scopolamine Impurity 4-13C-d3 is a fully characterized chemical compound used as a reference standard of API Scopolamine. The standard offered is compliant with regulatory guidelines. Scopolamine Impurity 4-13C-d3 is used for analytical method development, method validation (AMV), and Quality Controlled (QC) applications during synthesis and formulation stages of drug development and serves as a reference standard for traceability against pharmacopeial standards (USP or EP). Axios Research products are intended for analytical purposes only and are not for human use. CAS - NA
Related products
Hyoscine Butylbromide EP Impurity D Bromide (Mixture of Diastereomers)
M.F.
M.W. 346.45 79.90
CAT# AR-S10020
CAS# NA
N-Nitroso Scopolamine EP Impurity A (N-Nitroso Norscopolamine, N-Nitroso Norhyoscine)
M.F.
M.W. 318.33
CAT# AR-S10010
CAS# NA
Hyoscine Butylbromide-d9 (N-Butyl Scopolamine Bromide-d9, N-Butyl Hyoscine Bromide-d9)
M.F.
M.W. 369.53 79.90
CAT# AR-S10011
CAS# NA