Tofacitinib Related Products
Axios Research stands at the forefront of pharmaceutical reference standards ingenuity, providing high quality Tofacitinib Reference Standards. These include both pharmacopeial and non-pharmacopeial Tofacitinib impurities, metabolites, stable isotope products, and nitrosamines. Our Tofacitinib impurity reference standards are essential for pharmaceutical research, aiding in product development, ANDA and DMF submissions, quality control (QC), method validation, and stability studies. They are also used in identifying unknown impurities and evaluating genotoxic potential. Our Tofacitinib related products are meticulously characterized and come with a comprehensive Certificates of Analysis (COA) and analytical data that comply with regulatory standards.
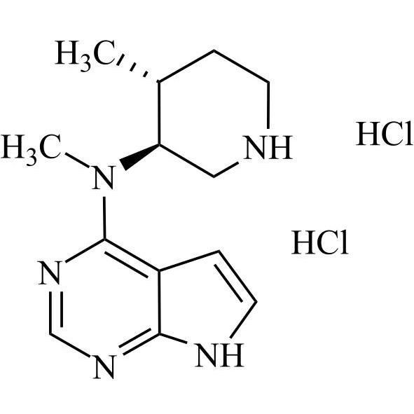
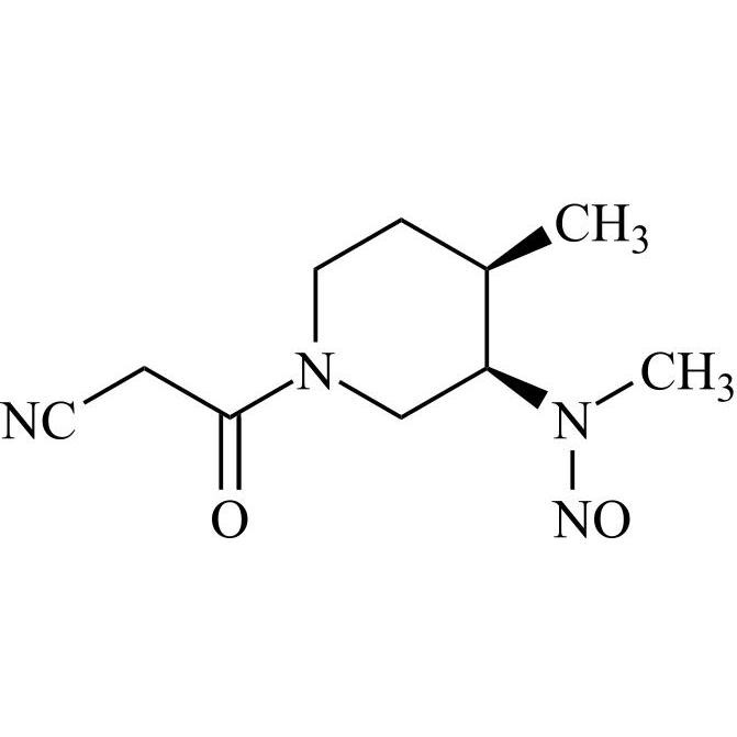
Tofacitinib Related Compound 2 HCl
M.F.
M.W. 195.27 36.46
CAT# AR-T02437
CAS# 1629858-78-1 (free base)
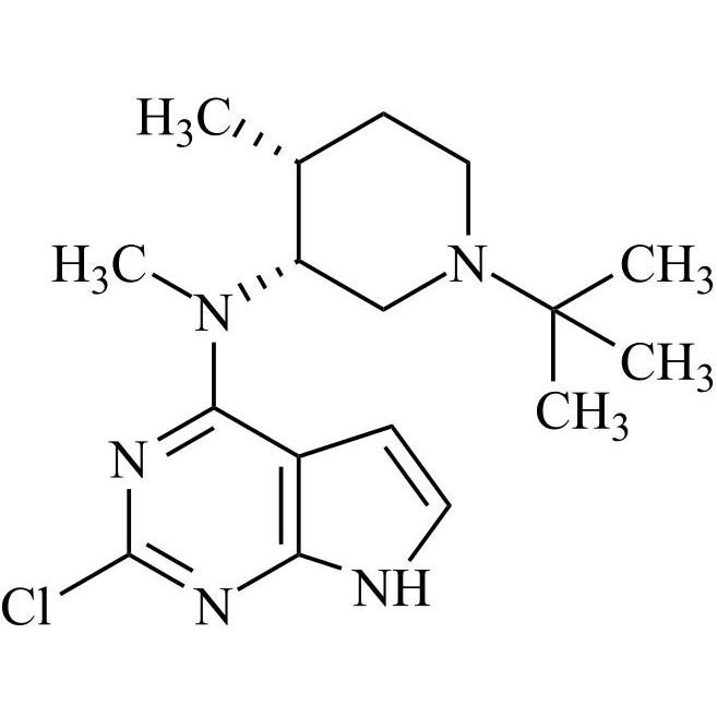
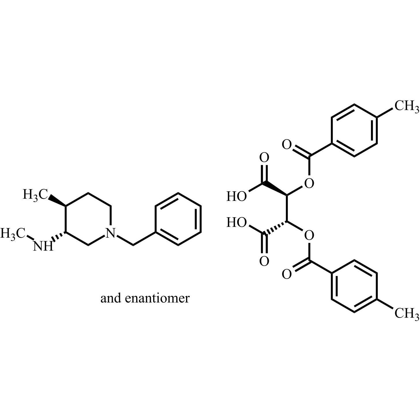
Tofacitinib Related Compound 28 (rac-trans-Tofacitinib)
M.F.
M.W. 312.38
CAT# AR-T02478
CAS# 2734856-31-4