Tt-232 Related Products

Axios Research stands at the forefront of pharmaceutical reference standards ingenuity, providing high quality Tt-232 Reference Standards. These include both pharmacopeial and non-pharmacopeial Tt-232 impurities, metabolites, stable isotope products, and nitrosamines. Our Tt-232 impurity reference standards are essential for pharmaceutical research, aiding in product development, ANDA and DMF submissions, quality control (QC), method validation, and stability studies. They are also used in identifying unknown impurities and evaluating genotoxic potential. Our Tt-232 related products are meticulously characterized and come with a comprehensive Certificates of Analysis (COA) and analytical data that comply with regulatory standards.

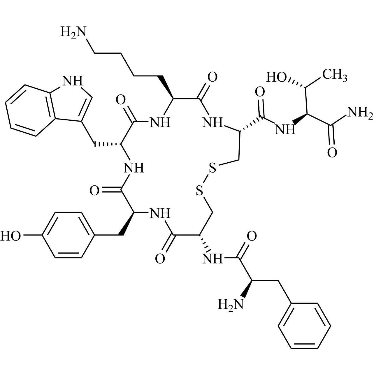
TT-232

Picture of TT-232

M.F.

M.W. 947.14

CAT# AR-T06176

CAS# 147159-51-1

Can't find what you are looking for?

Inquire Now