Vitamin K1 Related Products
Axios Research stands at the forefront of pharmaceutical reference standards ingenuity, providing high quality Vitamin K1 Reference Standards. These include both pharmacopeial and non-pharmacopeial Vitamin K1 impurities, metabolites, stable isotope products, and nitrosamines. Our Vitamin K1 impurity reference standards are essential for pharmaceutical research, aiding in product development, ANDA and DMF submissions, quality control (QC), method validation, and stability studies. They are also used in identifying unknown impurities and evaluating genotoxic potential. Our Vitamin K1 related products are meticulously characterized and come with a comprehensive Certificates of Analysis (COA) and analytical data that comply with regulatory standards.
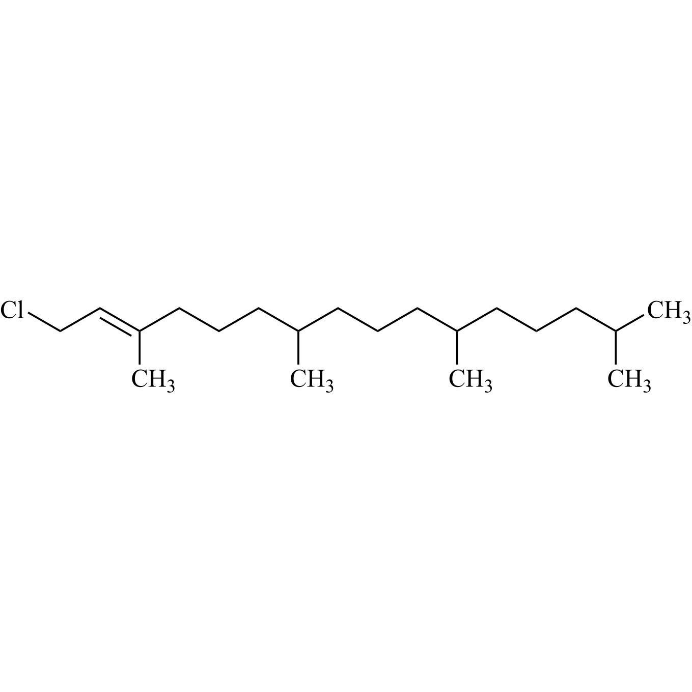
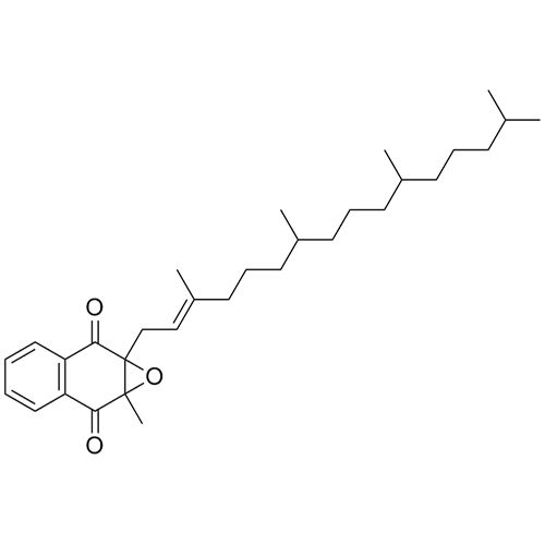
Dihydro Vitamin K1 Diacetate (Di-O-Acetyl-Dihydrophyllochinon)
M.F.
M.W. 536.80
CAT# AR-V01625
CAS# 604-87-5