- Synonyms6,8,11-trihydroxy-1-methoxytetracene-5,12-dione; 6,8,11-Trihydroxy-1-methoxy-5,12-naphthacenedione
- Description
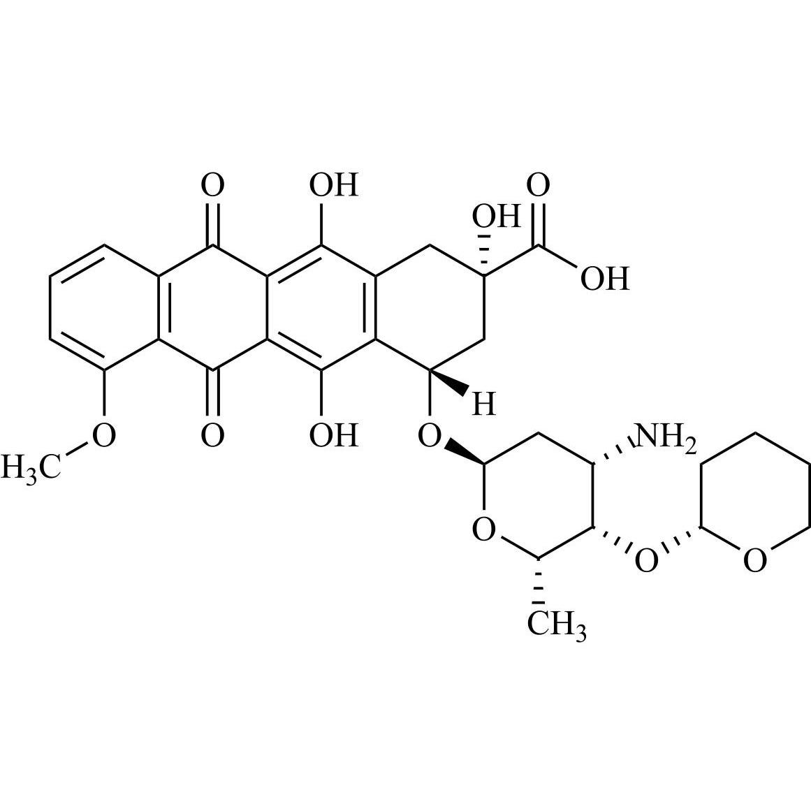
6,8,11-trihydroxy-1-methoxytetracene-5,12-dione; 6,8,11-Trihydroxy-1-methoxy-5,12-naphthacenedione
6,8,11-trihydroxy-1-methoxytetracene-5,12-dione is a fully characterized chemical compound used as a reference standard of API Doxorubicin. The standard offered is compliant with regulatory guidelines. 6,8,11-trihydroxy-1-methoxytetracene-5,12-dione is used for analytical method development, method validation (AMV), and Quality Controlled (QC) applications during synthesis and formulation stages of drug development and serves as a reference standard for traceability against pharmacopeial standards (USP or EP). Axios Research products are intended for analytical purposes only and are not for human use. CAS - 64845-67-6
Related products
Doxorubicinol HCl (Mixture of Diasteromers)

M.F.
M.W. 545.54 36.46
CAT# AR-D02368
CAS# 1242592-26-2 (free base)
Doxorubicinol-13C-d3 HCl (Mixture of Diasteromers)

M.F.
M.W. 549.58 36.46
CAT# AR-D02369
CAS# 1242592-26-2 (non-labelled, free base)
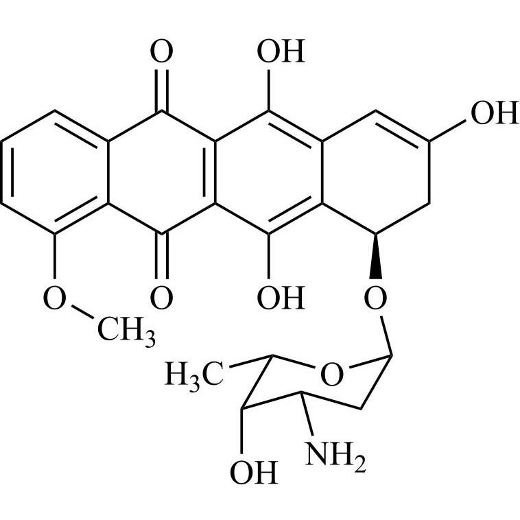
Doxorubicinone (Doxorubicin EP Impurity D; Epirubicin EP Impurity A)

M.F.
M.W. 414.37
CAT# AR-D02371
CAS# 24385-10-2