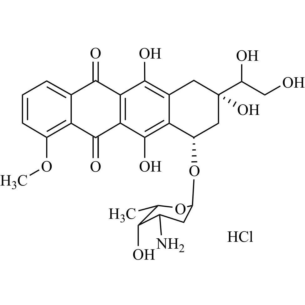
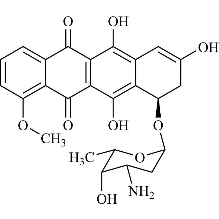
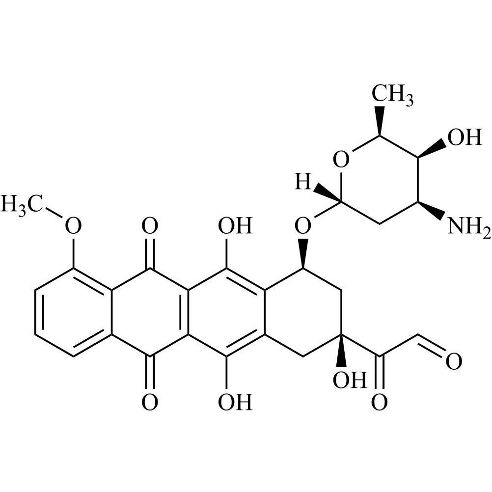
- Synonyms(8S,10S)-10-(((2R,4S,5S,6S)-4-amino-5-hydroxy-6-methyltetrahydro-2H-pyran-2-yl)oxy)-1,6,8,11-tetrahydroxy-8-(2-hydroxyacetyl)-7,8,9,10-tetrahydrotetracene-5,12-dione; 14-Hydroxy Carminomycin; (8S,10S)-10-[(3-Amino-2,3,6-trideoxy-?-L-lyxo-hexopyranosyl)oxy]-7,8,9,10-tetrahydro-1,6,8,11-tetrahydrox...
- Description
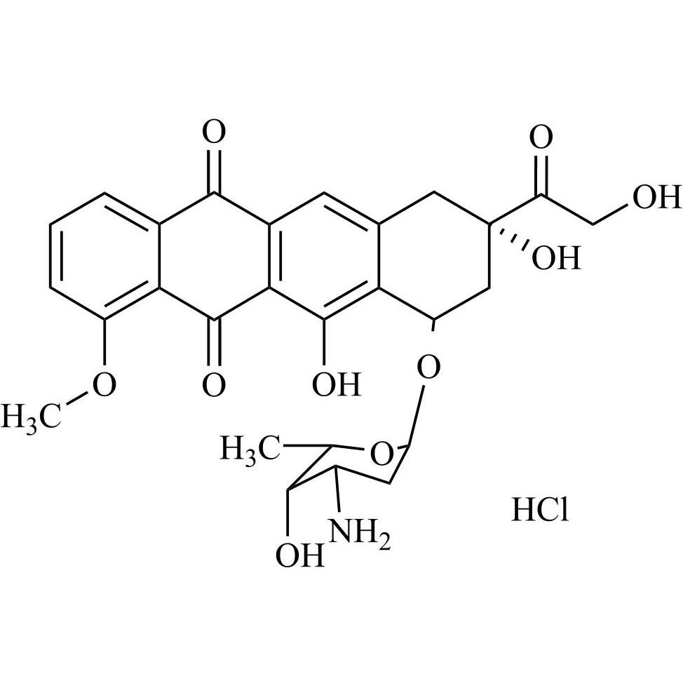
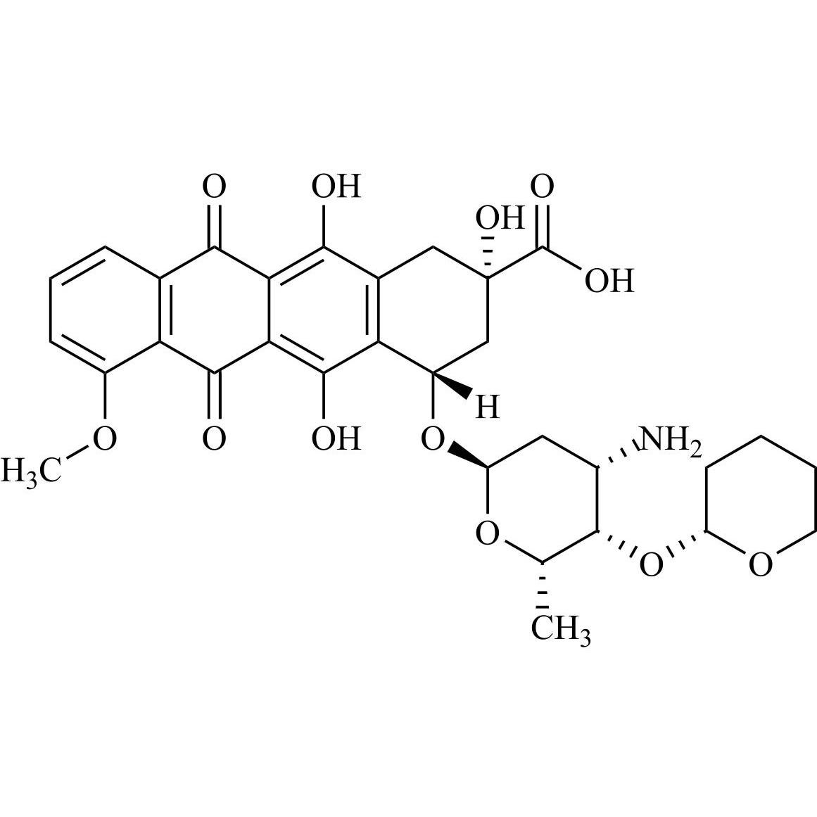
(8S,10S)-10-(((2R,4S,5S,6S)-4-amino-5-hydroxy-6-methyltetrahydro-2H-pyran-2-yl)oxy)-1,6,8,11-tetrahydroxy-8-(2-hydroxyacetyl)-7,8,9,10-tetrahydrotetracene-5,12-dione; 14-Hydroxy Carminomycin; (8S,10S)-10-[(3-Amino-2,3,6-trideoxy-?-L-lyxo-hexopyranosyl)oxy]-7,8,9,10-tetrahydro-1,6,8,11-tetrahydroxy-8-(hydroxyacetyl)-5,12-naphthacenedione
Desmethyl doxorubicin (14-Hydroxycarminomycin) is a fully characterized chemical compound used as a reference standard of API Doxorubicin. The standard offered is compliant with regulatory guidelines. Desmethyl doxorubicin (14-Hydroxycarminomycin) is used for analytical method development, method validation (AMV), and Quality Controlled (QC) applications during synthesis and formulation stages of drug development and serves as a reference standard for traceability against pharmacopeial standards (USP or EP). Axios Research products are intended for analytical purposes only and are not for human use. CAS - 69401-50-9
Related products
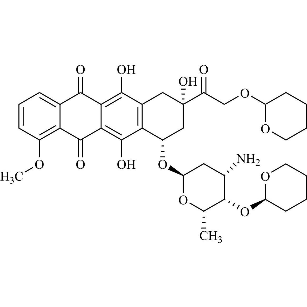
Doxorubicinol HCl (Mixture of Diasteromers)
M.F.
M.W. 545.54 36.46
CAT# AR-D02368
CAS# 1242592-26-2 (free base)
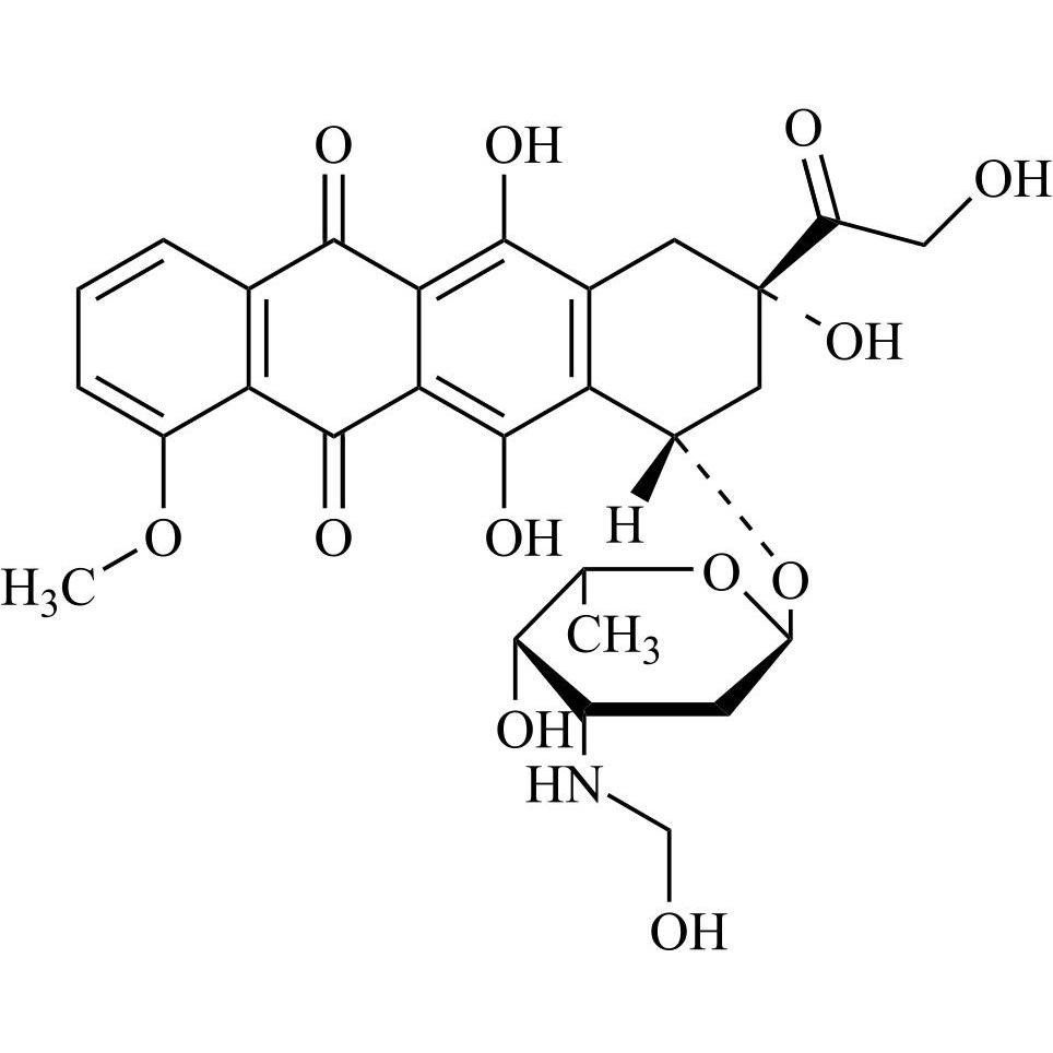
Doxorubicinol-13C-d3 HCl (Mixture of Diasteromers)
M.F.
M.W. 549.58 36.46
CAT# AR-D02369
CAS# 1242592-26-2 (non-labelled, free base)
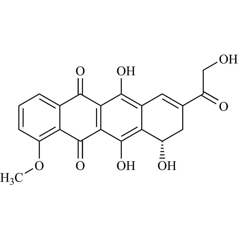
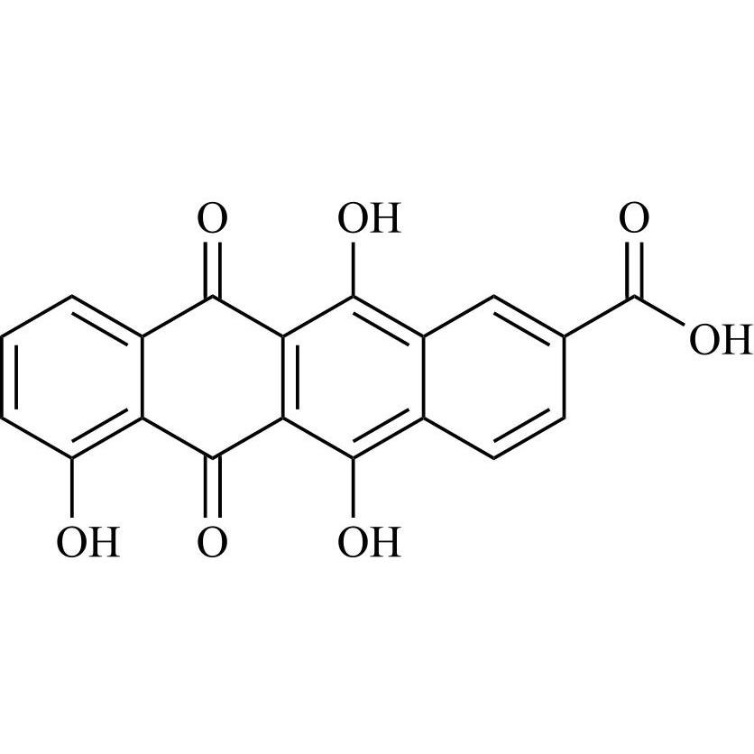
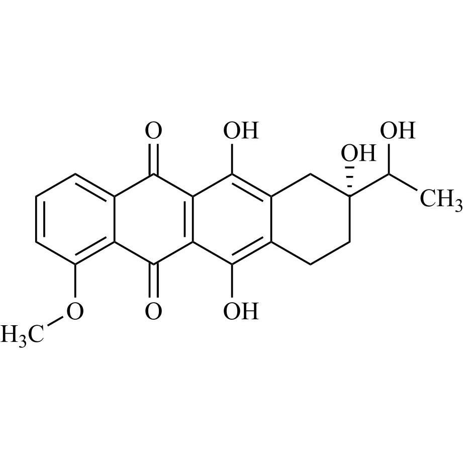
Doxorubicinone (Doxorubicin EP Impurity D; Epirubicin EP Impurity A)
M.F.
M.W. 414.37
CAT# AR-D02371
CAS# 24385-10-2