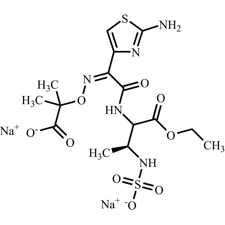
- Synonyms(4Z,8S,9R,12R,15Z)-5,15-bis(2-aminothiazol-4-yl)-2,9,18-trimethyl-6,11,14-trioxo-12-(sulfocarbamoyl)-3,17-dioxa-4,7,10,13,16-pentaazanonadeca-4,15-diene-2,8,18-tricarboxylic acid
- Description
(4Z,8S,9R,12R,15Z)-5,15-bis(2-aminothiazol-4-yl)-2,9,18-trimethyl-6,11,14-trioxo-12-(sulfocarbamoyl)-3,17-dioxa-4,7,10,13,16-pentaazanonadeca-4,15-diene-2,8,18-tricarboxylic acid
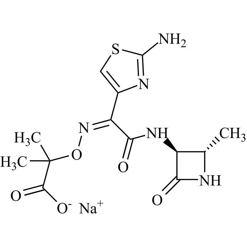
Aztreonam Dimer Impurity is a fully characterized chemical compound used as a reference standard of API Aztreonam. The standard offered is compliant with regulatory guidelines. Aztreonam Dimer Impurity is used for analytical method development, method validation (AMV), and Quality Controlled (QC) applications during synthesis and formulation stages of drug development and serves as a reference standard for traceability against pharmacopeial standards (USP or EP). Axios Research products are intended for analytical purposes only and are not for human use. CAS -
Related products
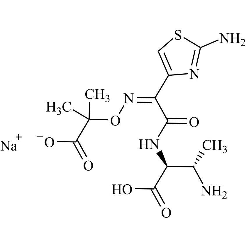
Aztreonam Impurity 1 Disodium Salt (Mixture of Diastereomers)

M.F.
M.W. 479.49 2*22.99
CAT# AR-A07996
CAS# NA
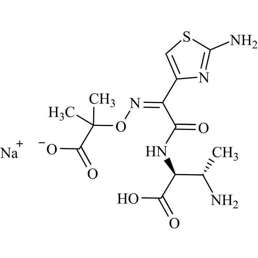
Aztreonam USP Related Compound B Monosodium Salt (Open-ring Desulfated Aztreonam Monosodium Salt)

M.F.
M.W. 372.38 22.99
CAT# AR-A07993
CAS# NA
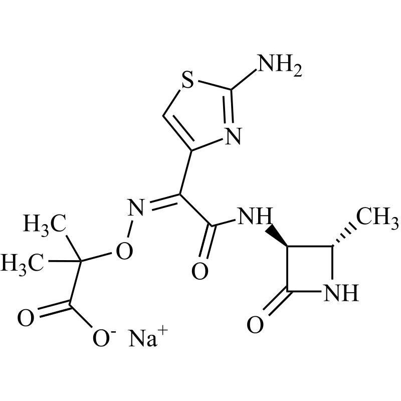
Aztreonam USP Related Compound D Sodium Salt (Desulfated Aztreonam Sodium Salt)

M.F.
M.W. 354.36 22.99
CAT# AR-A07994
CAS# NA