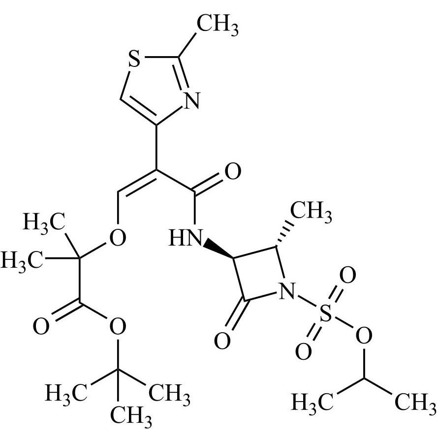
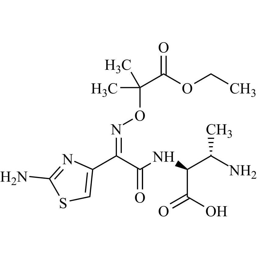
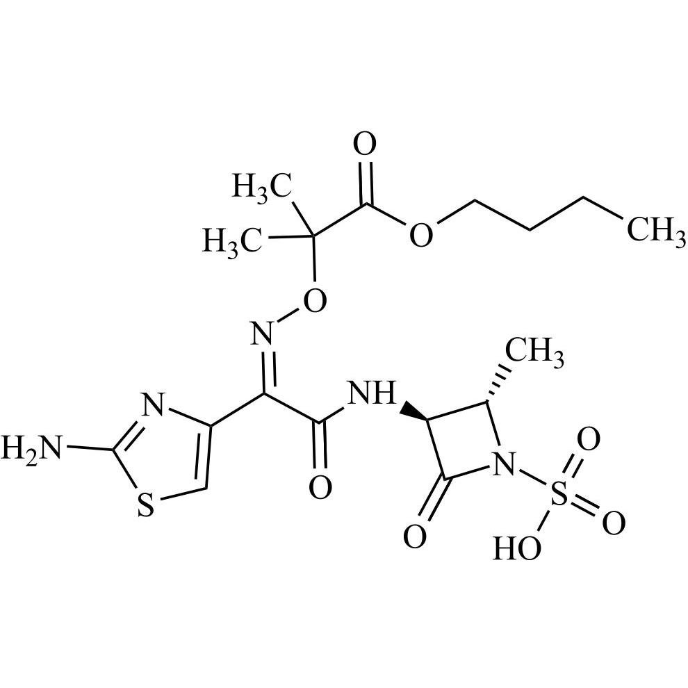
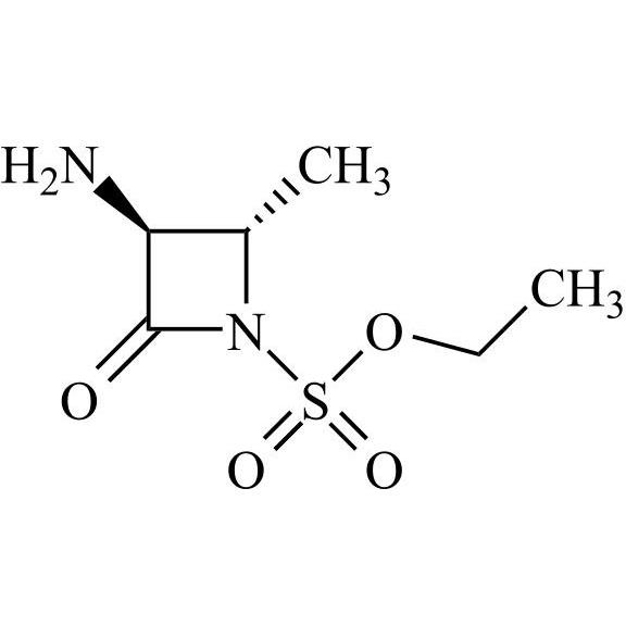
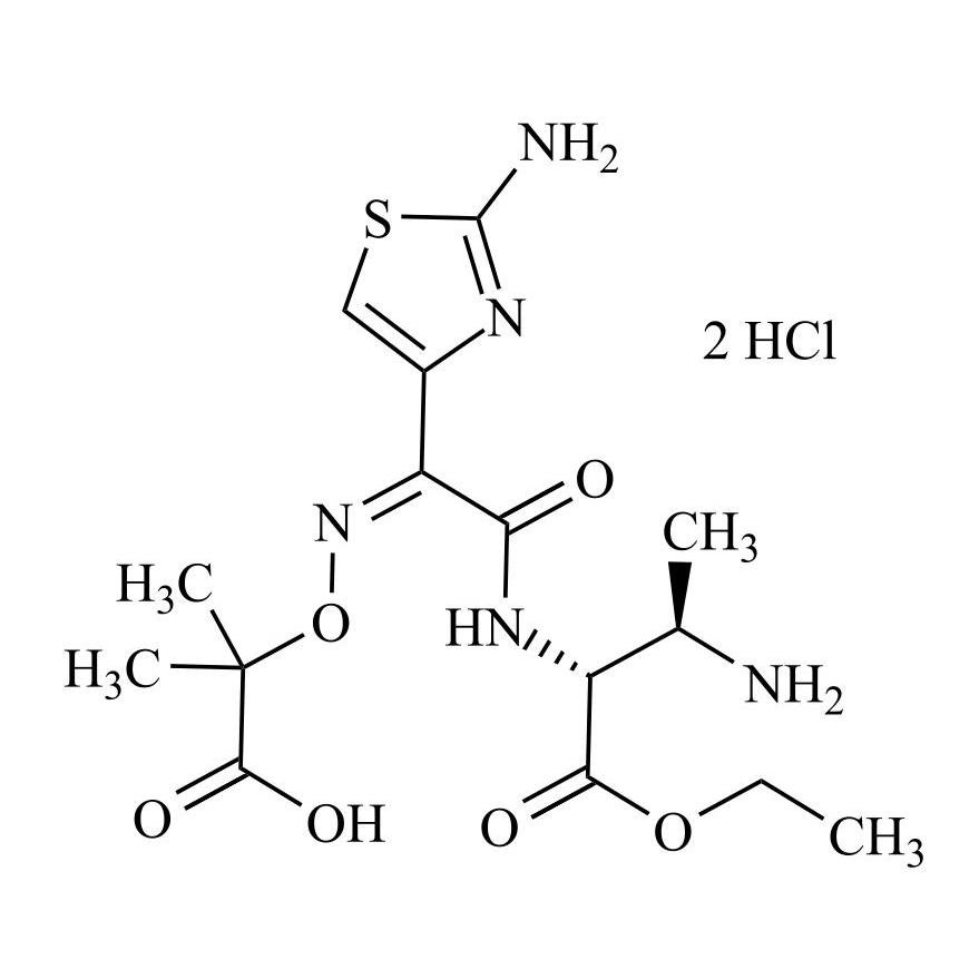
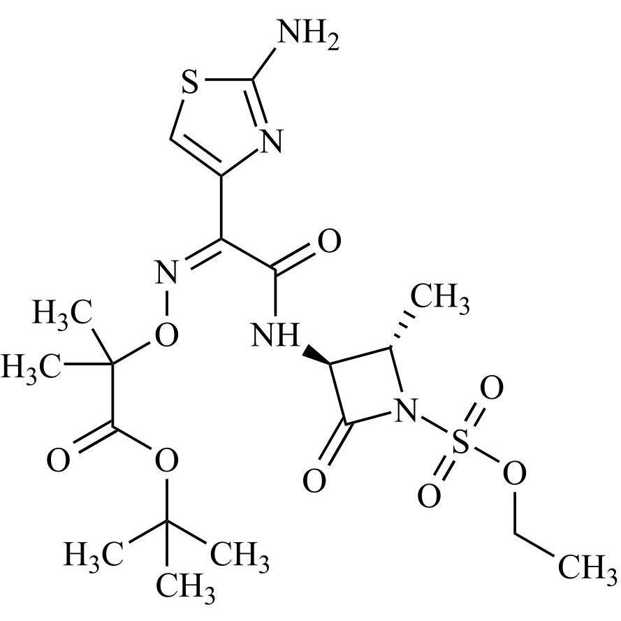
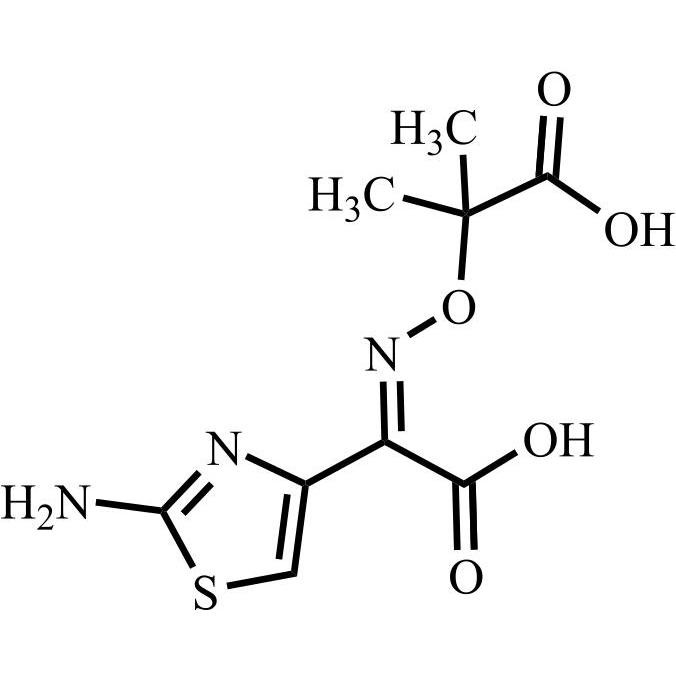
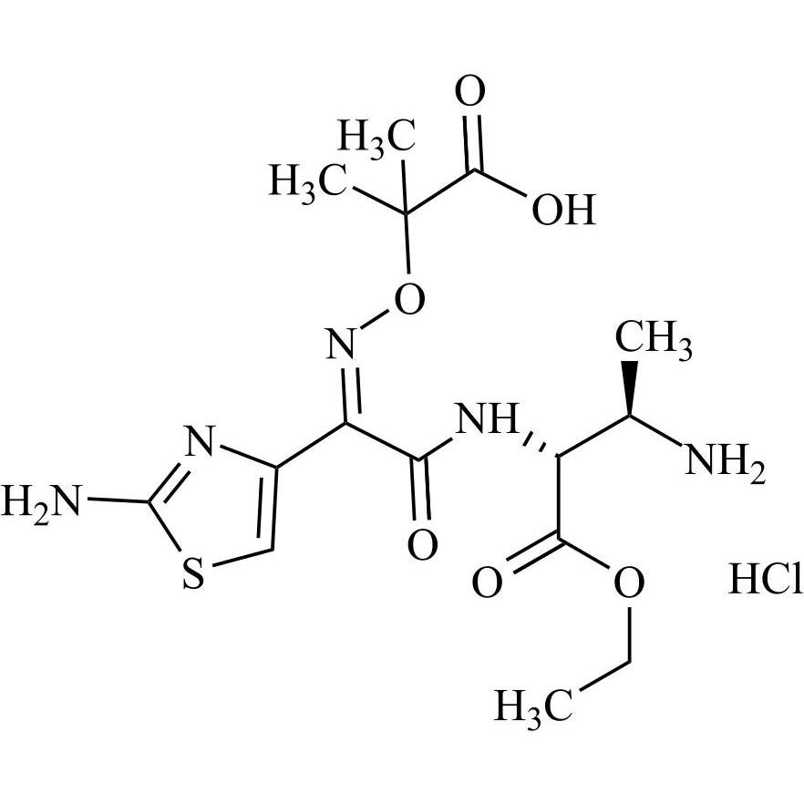
- Synonyms(2S,3S)-3-((Z)-2-(2-aminothiazol-4-yl)-2-(((1-ethoxy-2-methyl-1-oxopropan-2-yl)oxy)imino)acetamido)-2-methyl-4-oxoazetidine-1-sulfonic acid
- Description
(2S,3S)-3-((Z)-2-(2-aminothiazol-4-yl)-2-(((1-ethoxy-2-methyl-1-oxopropan-2-yl)oxy)imino)acetamido)-2-methyl-4-oxoazetidine-1-sulfonic acid
Aztreonam Impurity F is a fully characterized chemical compound used as a reference standard of API Aztreonam. The standard offered is compliant with regulatory guidelines. Aztreonam Impurity F is used for analytical method development, method validation (AMV), and Quality Controlled (QC) applications during synthesis and formulation stages of drug development and serves as a reference standard for traceability against pharmacopeial standards (USP or EP). Axios Research products are intended for analytical purposes only and are not for human use. CAS - 102579-57-7
Related products
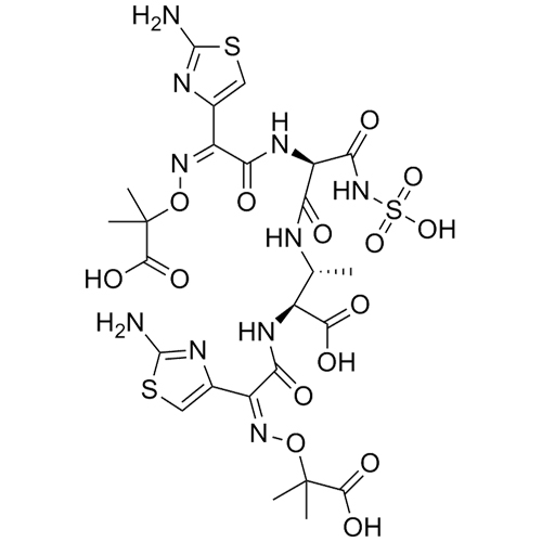
Aztreonam Impurity 1 Disodium Salt (Mixture of Diastereomers)
M.F.
M.W. 479.49 2*22.99
CAT# AR-A07996
CAS# NA
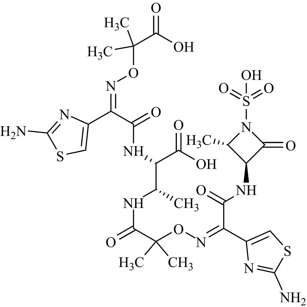
Aztreonam USP Related Compound B Monosodium Salt (Open-ring Desulfated Aztreonam Monosodium Salt)
M.F.
M.W. 372.38 22.99
CAT# AR-A07993
CAS# NA
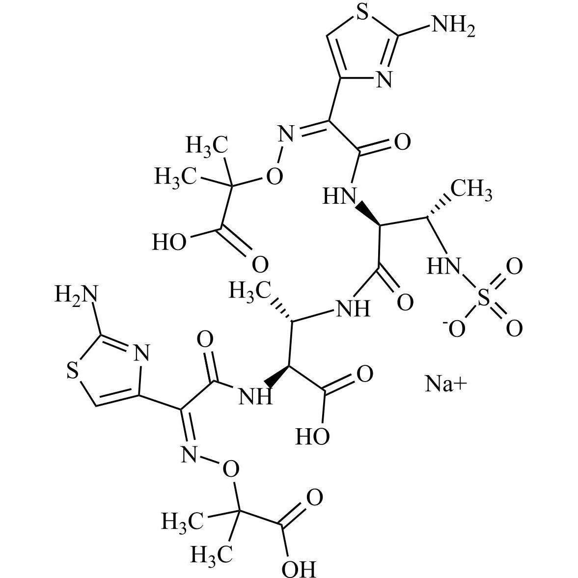
Aztreonam USP Related Compound D Sodium Salt (Desulfated Aztreonam Sodium Salt)
M.F.
M.W. 354.36 22.99
CAT# AR-A07994
CAS# NA