- Synonyms2,2',2'',2'''-(1,4,7,10-tetraazacyclododecane-1,4,7,10-tetrayl)tetraaceticacid;1,4,7,10-Tetraazacyclododecane-1,4,7,10-tetraacetic Acid; 1,4,7,10-Tetra(carboxymethyl)-1,4,7,10-tetraazacyclododecane; 1,4,7,10-Tetraazacyclododecane-N,N',N'',N'''-tetraacetic acid; DOTA; NSC 681107; Tetraxetan;DOTA
- Description
2,2',2'',2'''-(1,4,7,10-tetraazacyclododecane-1,4,7,10-tetrayl)tetraaceticacid;1,4,7,10-Tetraazacyclododecane-1,4,7,10-tetraacetic Acid; 1,4,7,10-Tetra(carboxymethyl)-1,4,7,10-tetraazacyclododecane; 1,4,7,10-Tetraazacyclododecane-N,N',N'',N'''-tetraacetic acid; DOTA; NSC 681107; Tetraxetan;DOTA
DOTA is a fully characterized chemical compound used as a reference standard of API Gadoteridol. The standard offered is compliant with regulatory guidelines. DOTA is used for analytical method development, method validation (AMV), and Quality Controlled (QC) applications during synthesis and formulation stages of drug development and serves as a reference standard for traceability against pharmacopeial standards (USP or EP). Axios Research products are intended for analytical purposes only and are not for human use. CAS - 60239-18-1
Related products
Gadobutrol Impurity 1 (mix of enantiomers)
M.F.
M.W. 450.49
CAT# AR-G01030
CAS# 138168-36-2 (racemic mix)
Gadobutrol Impurity 2 4HCl (Mixture of Diastereomers)
M.F.
M.W. 496.56 4 36.46
CAT# AR-G01031
CAS# 2514736-59-3
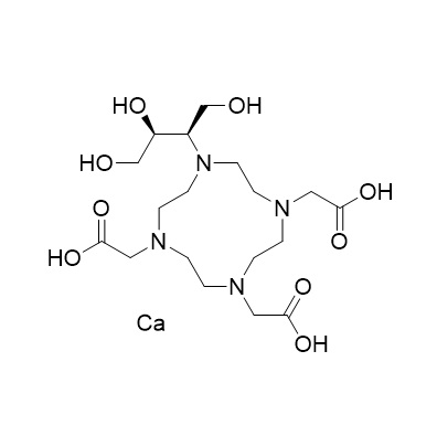
Gadobutrol Trisodium Salt (Calcobutrol Trisodium Salt)
M.F.
M.W. 447.47 3*22.99
CAT# AR-G01966
CAS# 2447549-29-1
N-Nitroso Gadobutrol Impurity 36 Ditrifluoroacetate
M.F.
M.W. 132.17 2*114.02
CAT# AR-G01968
CAS# NA