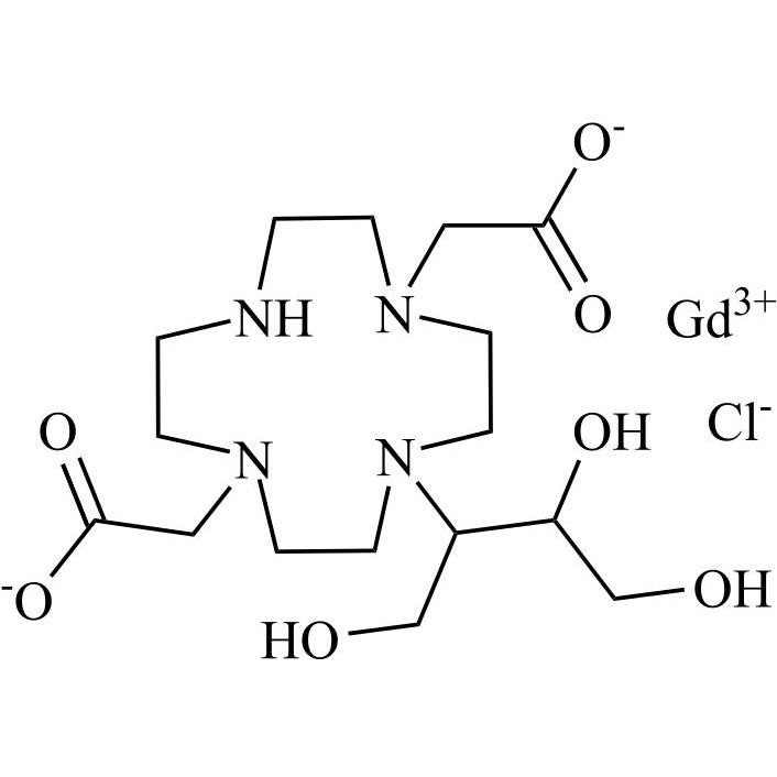
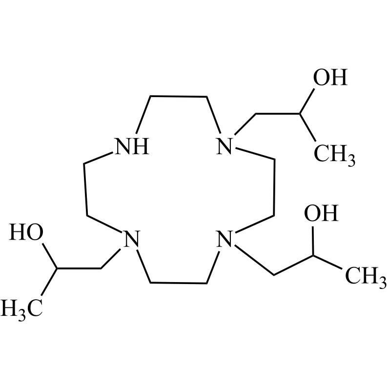
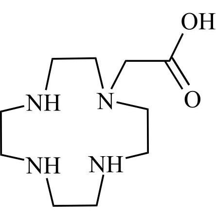
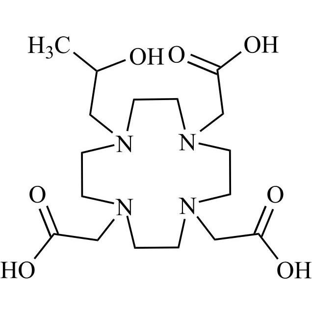
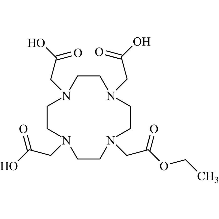
- Synonyms1,4,7-tris(carboxymethyl)-11-oxo-1,4,7,10-tetraazabicyclo[8.2.2]tetradecan-1-iumchloride
- Description
1,4,7-tris(carboxymethyl)-11-oxo-1,4,7,10-tetraazabicyclo[8.2.2]tetradecan-1-iumchloride
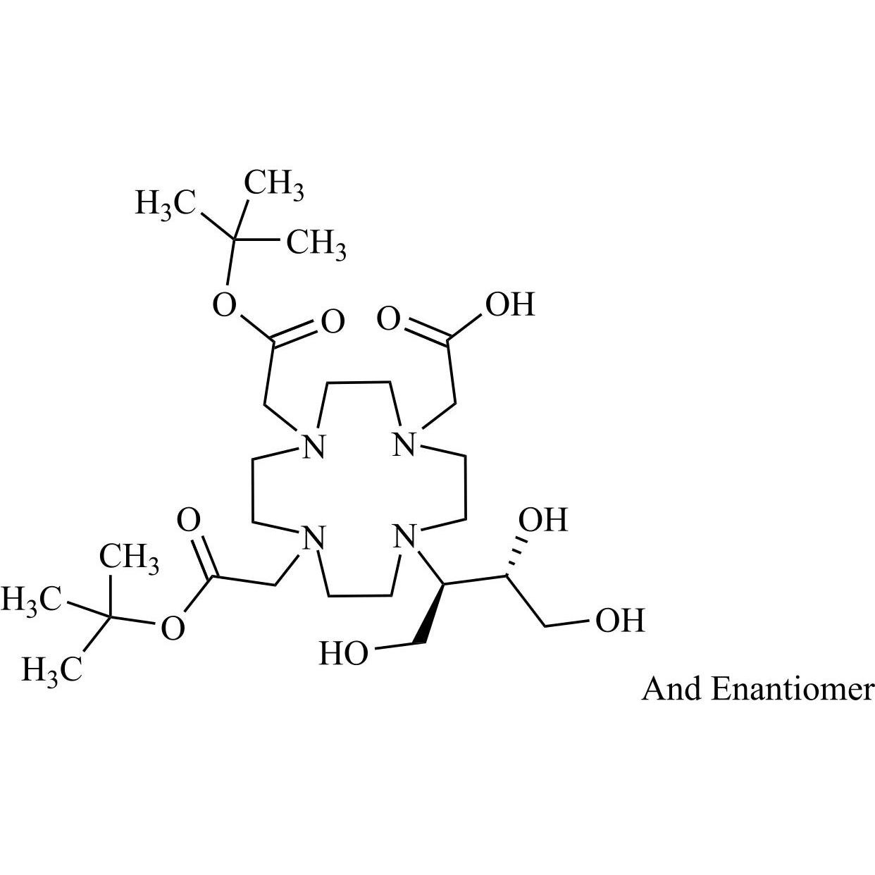
Gadoteridol Impurity 1 is a fully characterized chemical compound used as a reference standard of API Gadoteridol. The standard offered is compliant with regulatory guidelines. Gadoteridol Impurity 1 is used for analytical method development, method validation (AMV), and Quality Controlled (QC) applications during synthesis and formulation stages of drug development and serves as a reference standard for traceability against pharmacopeial standards (USP or EP). Axios Research products are intended for analytical purposes only and are not for human use. CAS -
Related products
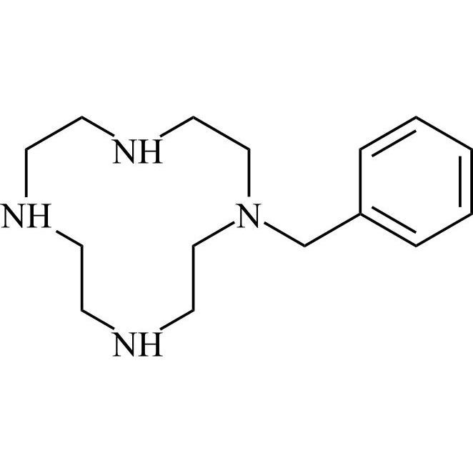
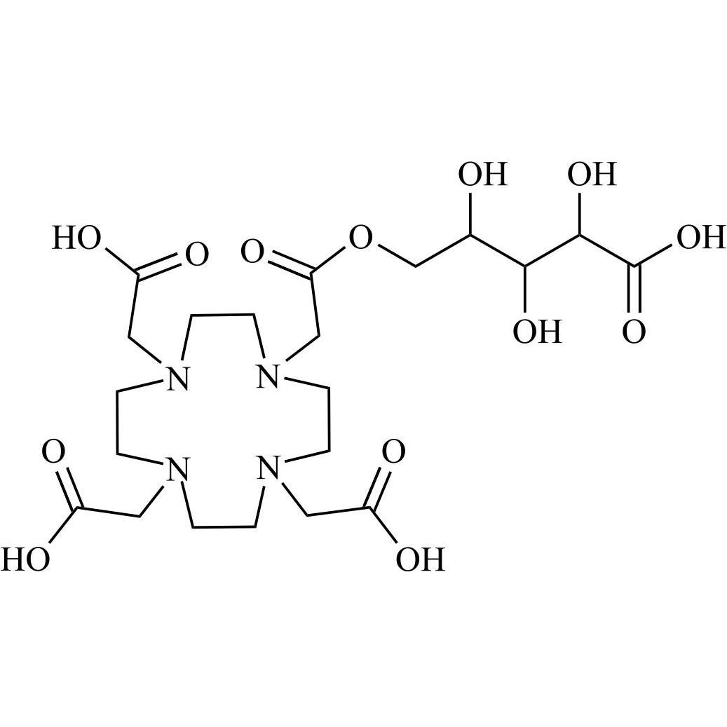
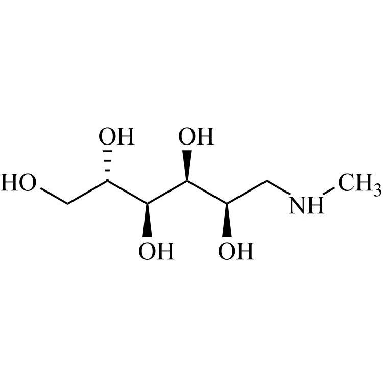
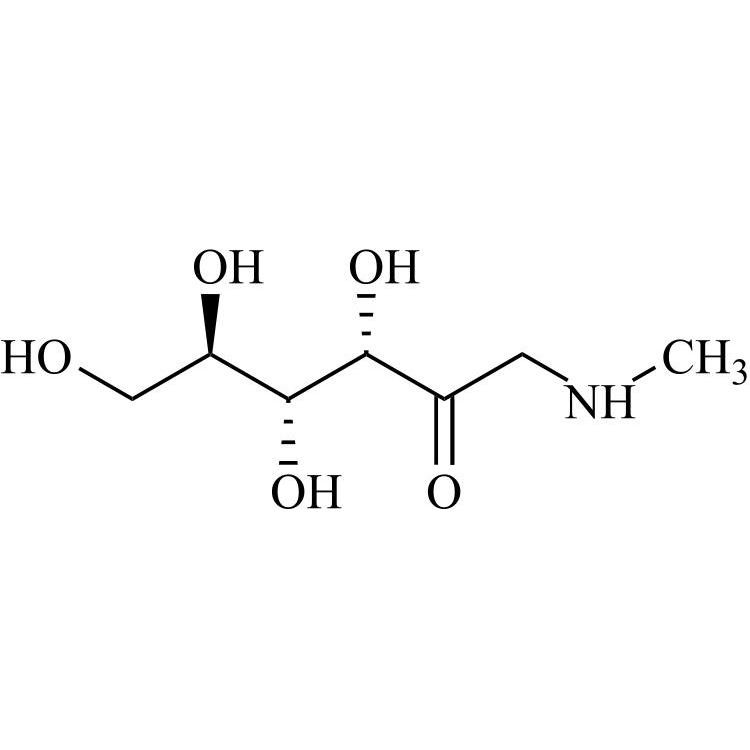
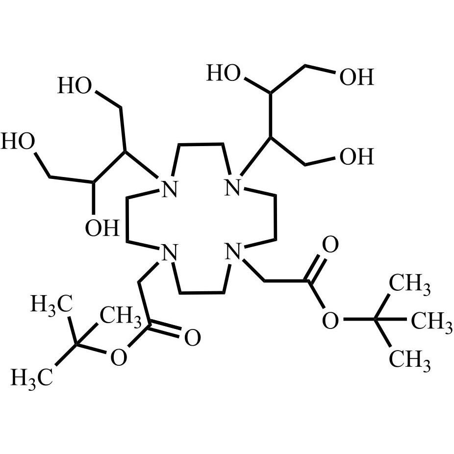
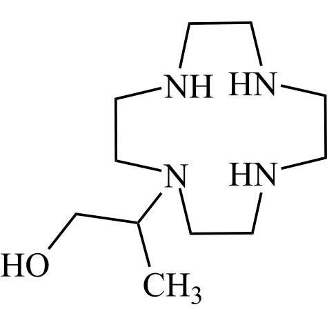
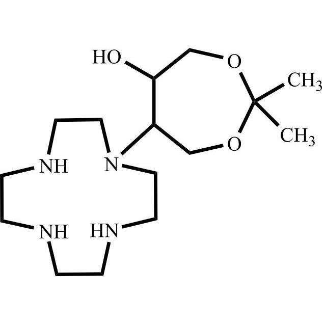
Gadobutrol Impurity 1 (mix of enantiomers)
M.F.
M.W. 450.49
CAT# AR-G01030
CAS# 138168-36-2 (racemic mix)
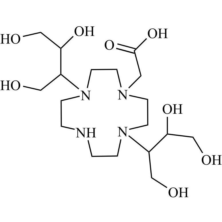
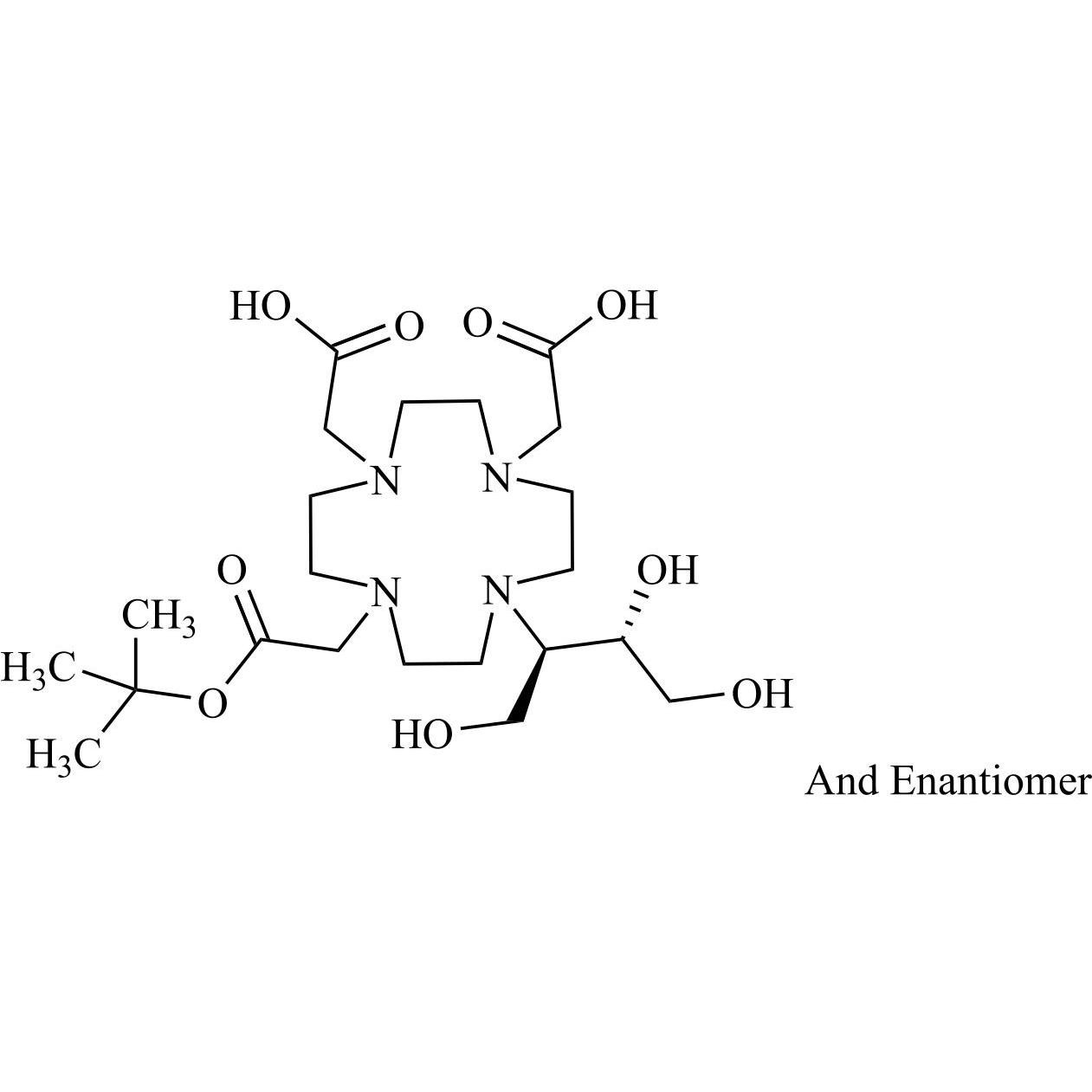
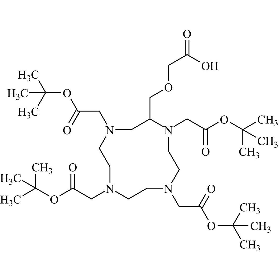
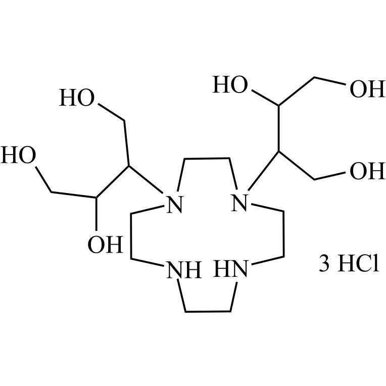
Gadobutrol Impurity 2 4HCl (Mixture of Diastereomers)
M.F.
M.W. 496.56 4 36.46
CAT# AR-G01031
CAS# 2514736-59-3
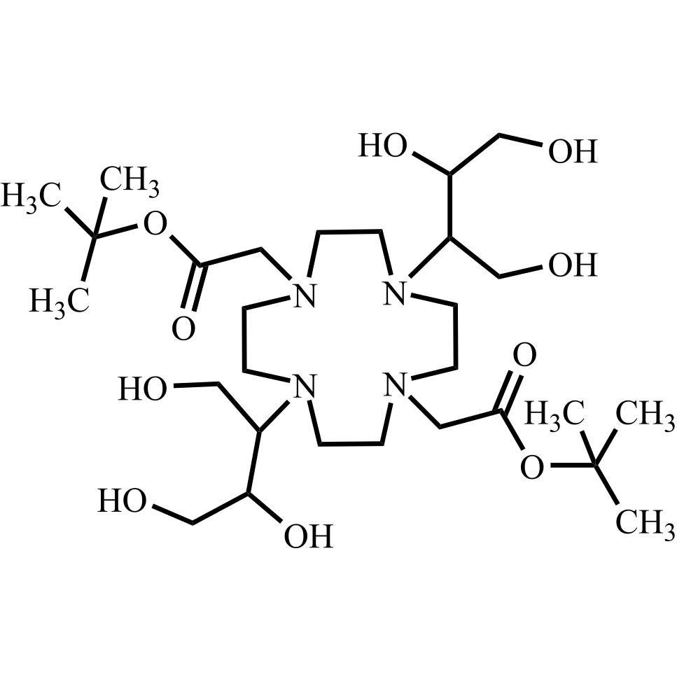
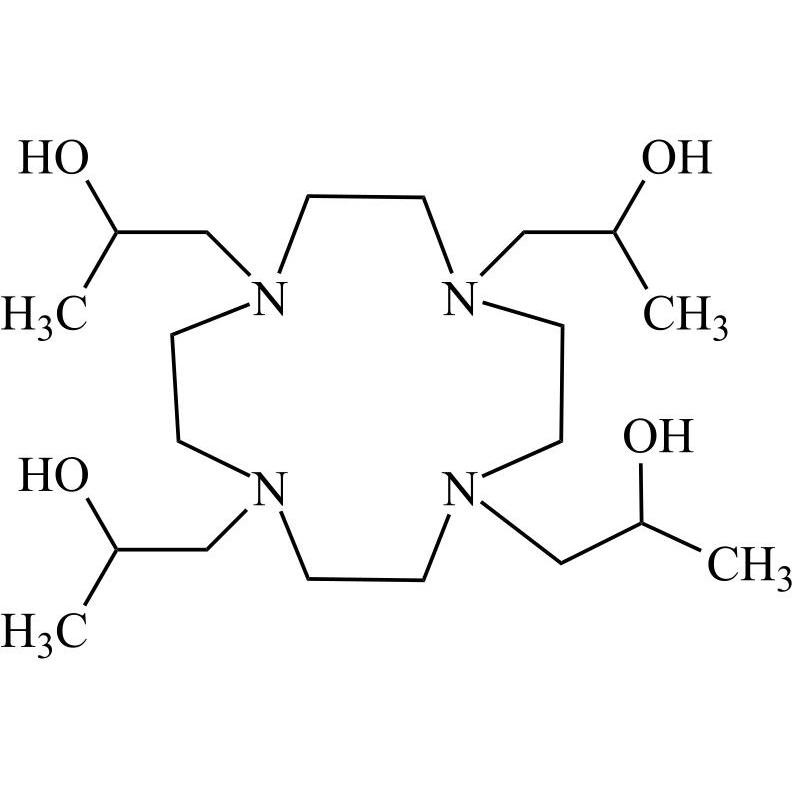
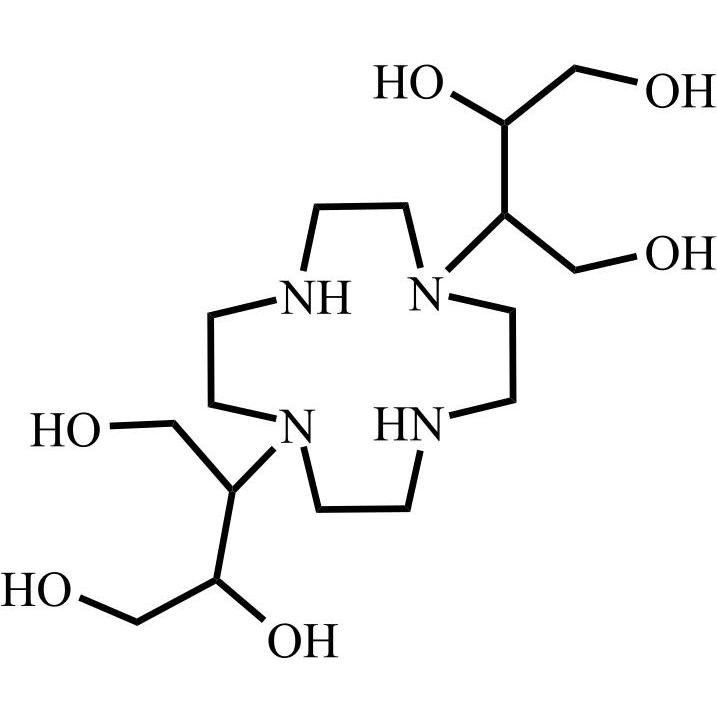
Gadobutrol Trisodium Salt (Calcobutrol Trisodium Salt)
M.F.
M.W. 447.47 3*22.99
CAT# AR-G01966
CAS# 2447549-29-1
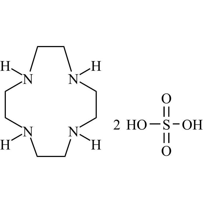
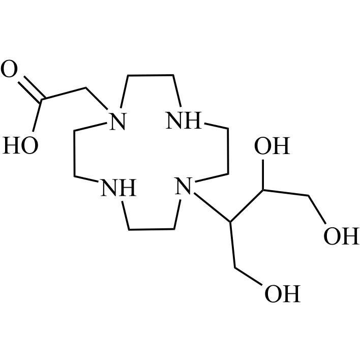
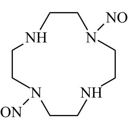
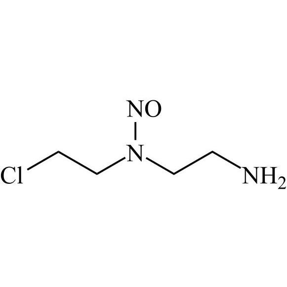
N-Nitroso Gadobutrol Impurity 36 Ditrifluoroacetate
M.F.
M.W. 132.17 2*114.02
CAT# AR-G01968
CAS# NA